Предмет: Физика,
автор: Levelt
пожалуйста помогите, 100 баллов
Приложения:
Ответы
Автор ответа:
2
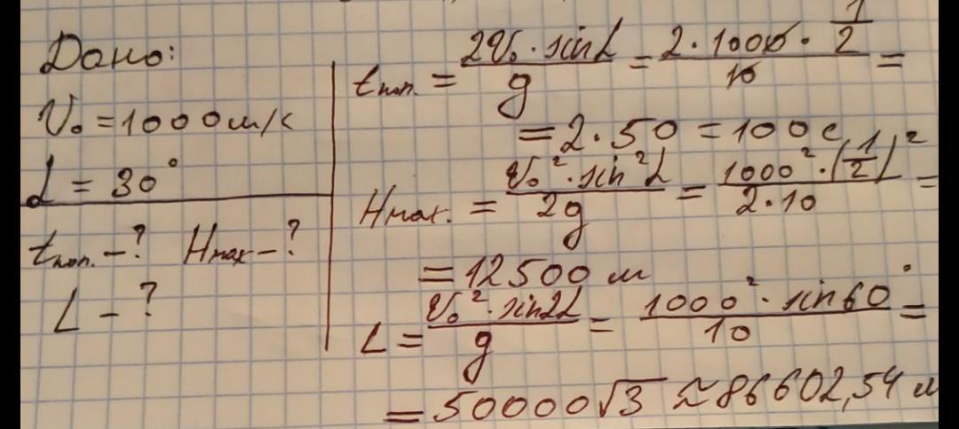
Ответ:
t=100 c
H=12500 M
L-86602,54 M
Объяснение:
Приложения:
Похожие вопросы
Предмет: Русский язык,
автор: laurashadrina88
Предмет: Физика,
автор: yo3rrjjb
Предмет: Право,
автор: TheFaceMaps
Предмет: Геометрия,
автор: shkolna349
Предмет: Английский язык,
автор: nxkxkxkx