Предмет: Алгебра,
автор: qexww
тотожні перетворення
СРОЧНО ПОЖАЛУЙСТА ПОМОГИТЕ!!!!!!!!!!!!!!
Приложения:
Ответы
Автор ответа:
1
Ответ:
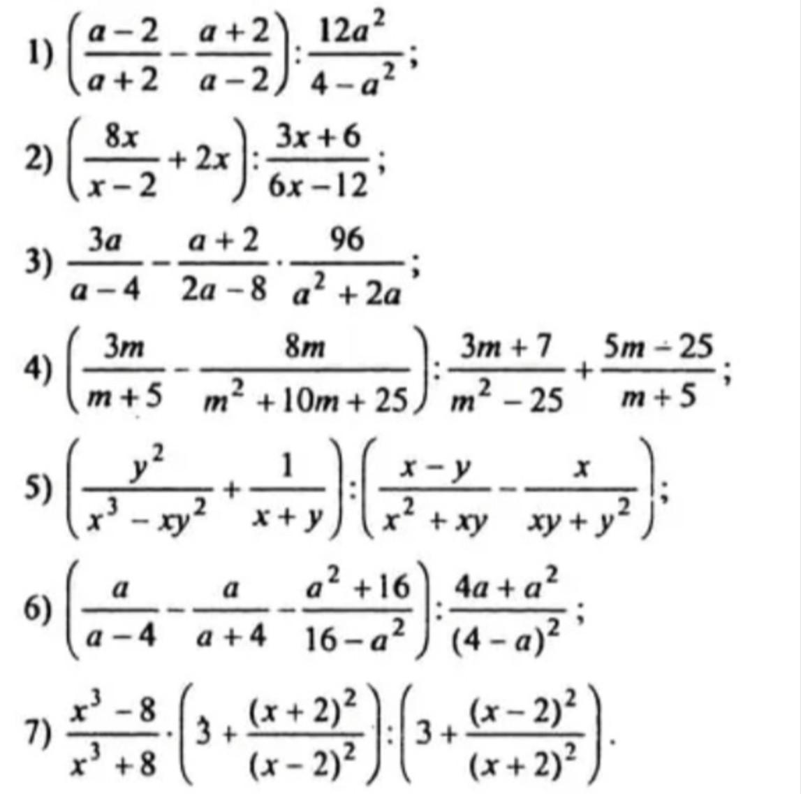
1 ) 2/3а
2 ) 4х
3 ) 3а + 12/а
4 ) m - 5
5 ) - y/ x - y
6 ) a - 4/a
7 ) x + 2/x - 2
qexww:
спасибо легенда
пожалуйста ❤️
Похожие вопросы
Предмет: Другие предметы,
автор: baimbetovabigul262
Предмет: История,
автор: kachok2009
Предмет: Русский язык,
автор: gulizabxnfkdbdvfgdj
Предмет: Математика,
автор: lexagladkov86
Предмет: Музыка,
автор: NastyaMilyuhina2007