Предмет: Алгебра,
автор: Аноним
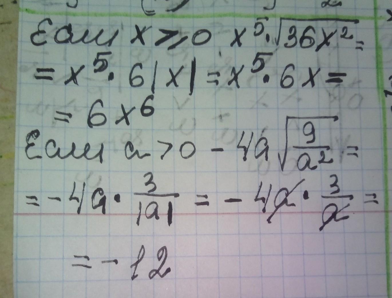
Упростите выражение
Приложения:
Ответы
Автор ответа:
0
Ответ:
решение смотри на фотографии
Приложения:
Похожие вопросы
Предмет: Физика,
автор: Аноним
Предмет: Другие предметы,
автор: Аноним
Предмет: Українська література,
автор: denusolinik
Предмет: Математика,
автор: Fhufrh
Предмет: Математика,
автор: MaFiOzNiK113