Предмет: Алгебра, автор: mdasa21

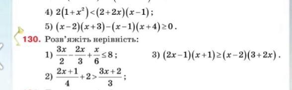
БУДЬ ЛАСКАААААА ДОПОМОЖІТЬ ПРОШУ!!! НА СЬОГОДНІ ТРЕБА!!! №113,№130 (Росписати).

Приложения:

Ответы

Автор ответа: konovalovakris101120
1

Ответ:на фото

Объяснение: Сподіваюся, що ви в школі вивчали, що таке проміжки, бо я все вирішувала за допомогою їх.

Приложения:

mdasa21: :)
mdasa21: Доброго дня. Вибачте, що турбую, але мені потрібна ваша допомога... можете мені допомогти?
konovalovakris101120: Все добре. Тільки я не з можу тобі допомогти з укр.літ, тому що я в цьому не дуже сильно розбираюсь(
mdasa21: Нічого страшного... може хтось інший допоможе. Мені потрібна твоя допомога з алгеброю. Якщо можеш, допоможи будь ласка)
konovalovakris101120: Ну з алгеброю я тобі допоможу)
konovalovakris101120: Тільки я зараз зайнята, зможу до помогти трохи пізніше))
mdasa21: Добре. Я буду чекати.
mdasa21: Я все ще чекаю).
konovalovakris101120: Мені залишився останній номер, зараз скину))
mdasa21: дякую тобі ще раз)
Похожие вопросы
Предмет: Українська мова, автор: Routay1233
Предмет: Геометрия, автор: 5kl99