Предмет: Алгебра,
автор: Мозгокошка
Алгебра даю 100 баллов за лучший ответ!Всего 2 задания
Приложения:
Ответы
Автор ответа:
1
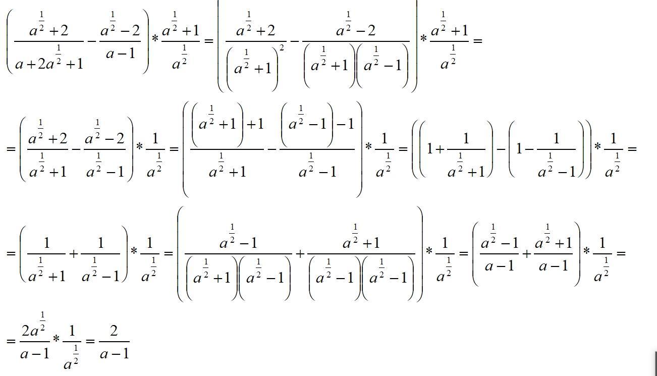
Ответ:
у додатку
Объяснение:
Приложения:
Мозгокошка:
Огромное спасибо.Понимаю это нагло с моей стороны..Но не могли бы вы просмотреть другие задания в моем профиле и сделать из того ,что знаете.Была бы благодарна за помощь.В ЛЮБОМ СЛУЧАЕ ОГРОМНОЕ ВАМ СПАСИБО
то, что у вас в профиле несложно, но оформление занимает много времени. что сделаю - то сделаю.
почему вы боитесь решать сами ?
у вас все получается со степенями https://znanija.com/task/50466554
у вас все получается со степенями https://znanija.com/task/50466554
Огромное вам спасибо
я не решаю сама больше по причине что а)у меня совсем нету на это времени и я сижу сейчас над совсем другим.б)не уверена что будет правильно Так как я это подзабыла.Хочу наверняка знать что правильно и потом по ходу дела когда это пишу я понимаю что к чему и уже дальше могу сама.В основном просто нету времени разбираться
сейчас дистанция и слишком много задают+олимпиады 24/7.изза них на дз даже времени и не хватает
Похожие вопросы
Предмет: Биология,
автор: irinachuprakova0703
Предмет: Информатика,
автор: daniktaniil
Предмет: Другие предметы,
автор: Аноним
Предмет: Українська мова,
автор: mervegalusinskaya