Предмет: Математика,
автор: dimarubnuk
Виконати додавання. Допоможіть будь ласка хто небудь. З поясненням
Приложения:
Ответы
Автор ответа:
1
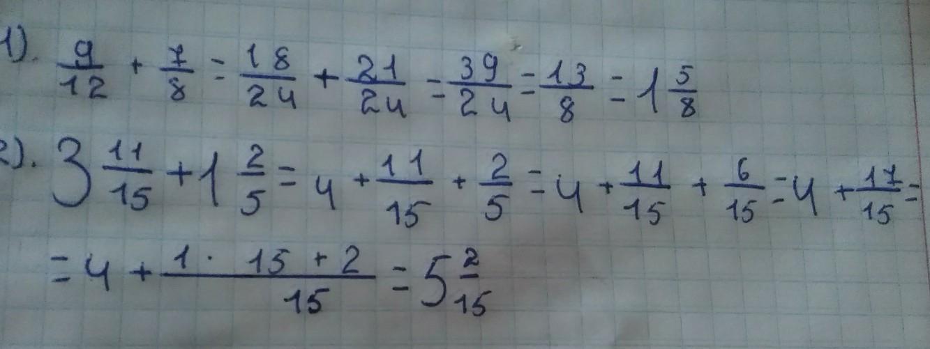
Ответ:
1). 9/12 + 7/8 = 15/8
2).3 11/15 + 1 2/5 = 5 2/15
Пошаговое объяснение:
Є на фото. Сподіваюсь, все зрозуміло.
Приложения:
Похожие вопросы
Предмет: Математика,
автор: abduldabekovadiana
Предмет: Математика,
автор: ruskevicsona
Предмет: Алгебра,
автор: kirapriv457
Предмет: Окружающий мир,
автор: grigmar1310
Предмет: Математика,
автор: azizplay07