Предмет: Алгебра,
автор: rikaperets
помогите пожалуйста пятое задание
Приложения:
Ответы
Автор ответа:
0
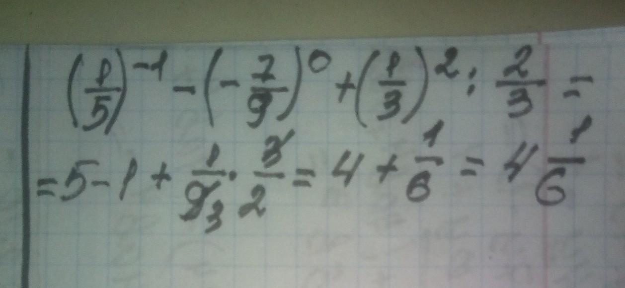
Ответ:
решение смотри на фотографии
Приложения:
Похожие вопросы
Предмет: Геометрия,
автор: chernavskaoksana1
Предмет: Физика,
автор: fbvsgvssz
Предмет: Биология,
автор: kirilhomenko33333
Предмет: Математика,
автор: Аноним
Предмет: Английский язык,
автор: MaryJane2007