Предмет: Алгебра,
автор: marynachykur3
Терміново! розв'яжіть систему нерівностей!
Приложения:
Ответы
Автор ответа:
2
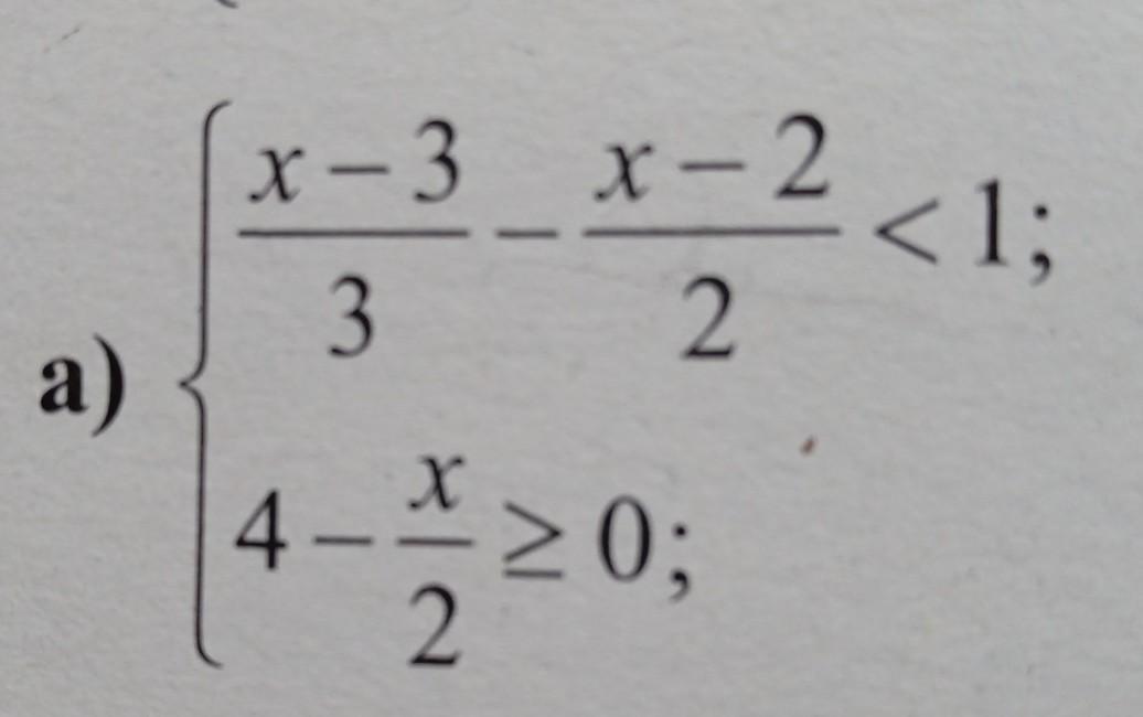
Відповідь:
x∈[-6;8]
Пояснення:
1.2x-6-3x+6<6 ( умножил на 6 )
-x<6
x>-6
2. 8-x≥0 ( умножил на 2 )
-x≥-8
x≤8
x∈[-6;8]
Похожие вопросы
Предмет: Химия,
автор: ggigroniys
Предмет: Қазақ тiлi,
автор: gudi8522
Предмет: Алгебра,
автор: Аноним
Предмет: Английский язык,
автор: innagolovan2
Предмет: История,
автор: Аноним