Предмет: Математика,
автор: ourcukova
СРОЧНО!!!!!!найдите значение выражения
Приложения:
Ответы
Автор ответа:
2
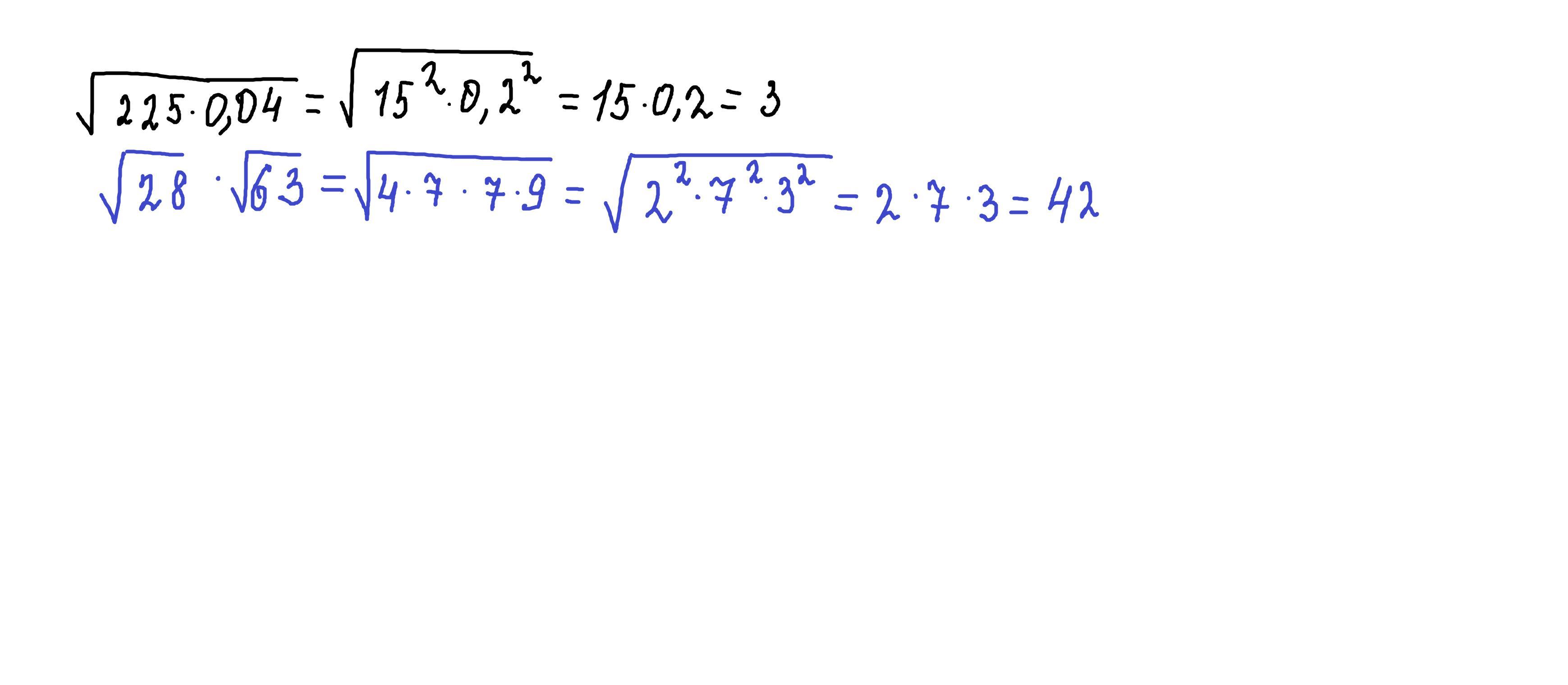
Ответ:
Пошаговое объяснение:
это же так просто.решение внизу
Приложения:
Автор ответа:
1
если что, спрашивайте:)
Приложения:
Похожие вопросы
Предмет: Русский язык,
автор: rivianpickup
Предмет: Информатика,
автор: korotchukandriy
Предмет: Экономика,
автор: gomonkot
Предмет: Физика,
автор: Hasage
Предмет: Українська мова,
автор: svet161173