Предмет: Математика, автор: 5c62tf69pz

11 цілих 3/5 + 15 цілих 18/25

Ответы

Автор ответа: annyvozniuk
1

Ответ:

11 цілих 3/5 і 15 цілих 18/25 зводимо до спільного знаменника 25. Додатковий множник до першого дробу 5, до другого 1. тепер 11 цілих 15/25 і 15 цілих 18/25 додаємо. виходить 26 цілих 33/25. Переводимо неправильний дріб в правильний, виходить 27 цілих 13/25


annyvozniuk: Нічого)
annyvozniuk: Давай знайомитись?
5c62tf69pz: Давай
5c62tf69pz: Мене звуть Тимур
5c62tf69pz: Я в 6 класе
annyvozniuk: Мене звуть Аня
annyvozniuk: Я в 8 класі
annyvozniuk: А ти з Рівного?
5c62tf69pz: Ні
5c62tf69pz: Спокійной ночі
Автор ответа: uliananikitina1212
1

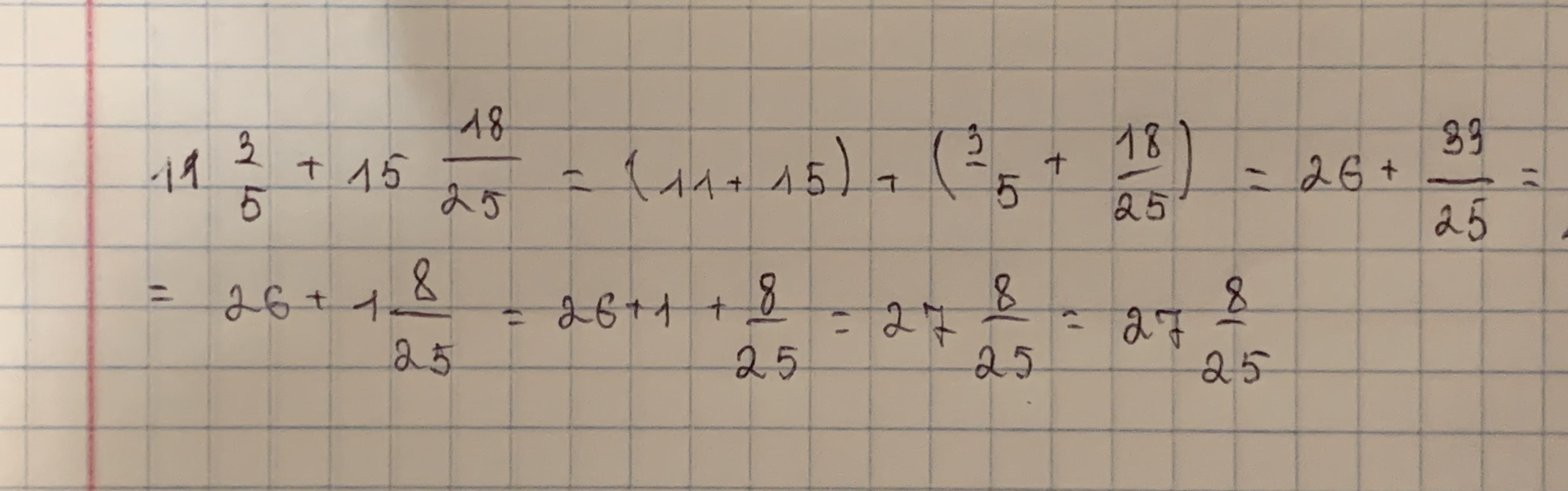
Відповідь:

Покрокове пояснення:

Приложения:

5c62tf69pz: Як з 33/25 сталось 8/25?
uliananikitina1212: я перетворила неправильний дріб у мішане число
Похожие вопросы
Предмет: Другие предметы, автор: svetasaghately22