Предмет: Физика,
автор: 2709206
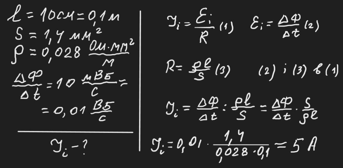
У витку, виконаному з алюмінієвого дроту довжиною 10 см і площею поперечного перерізу 1,4 мм², швидкiсть зміни магнітного потоку 10 мВб/с. Знайти силу індукційного струму. Питомий опір алюмінію 0,28 (Ом*мм2)/м.
zybkov1950:
В умові неправильно вказано питомий опір алюмінію
Ответы
Автор ответа:
0
Відповідь: 5 А
Пояснення:
Приложения:
Похожие вопросы
Предмет: Английский язык,
автор: marusiavukis
Предмет: Обществознание,
автор: crocodilebor
Предмет: Окружающий мир,
автор: shapovalnestor0
Предмет: Другие предметы,
автор: nastyakotasova
Предмет: Английский язык,
автор: anastasiachapaeva231