Предмет: Алгебра,
автор: yanfunnyboy4
Помогите пожайлуста с тестом на фото
Приложения:
Ответы
Автор ответа:
0
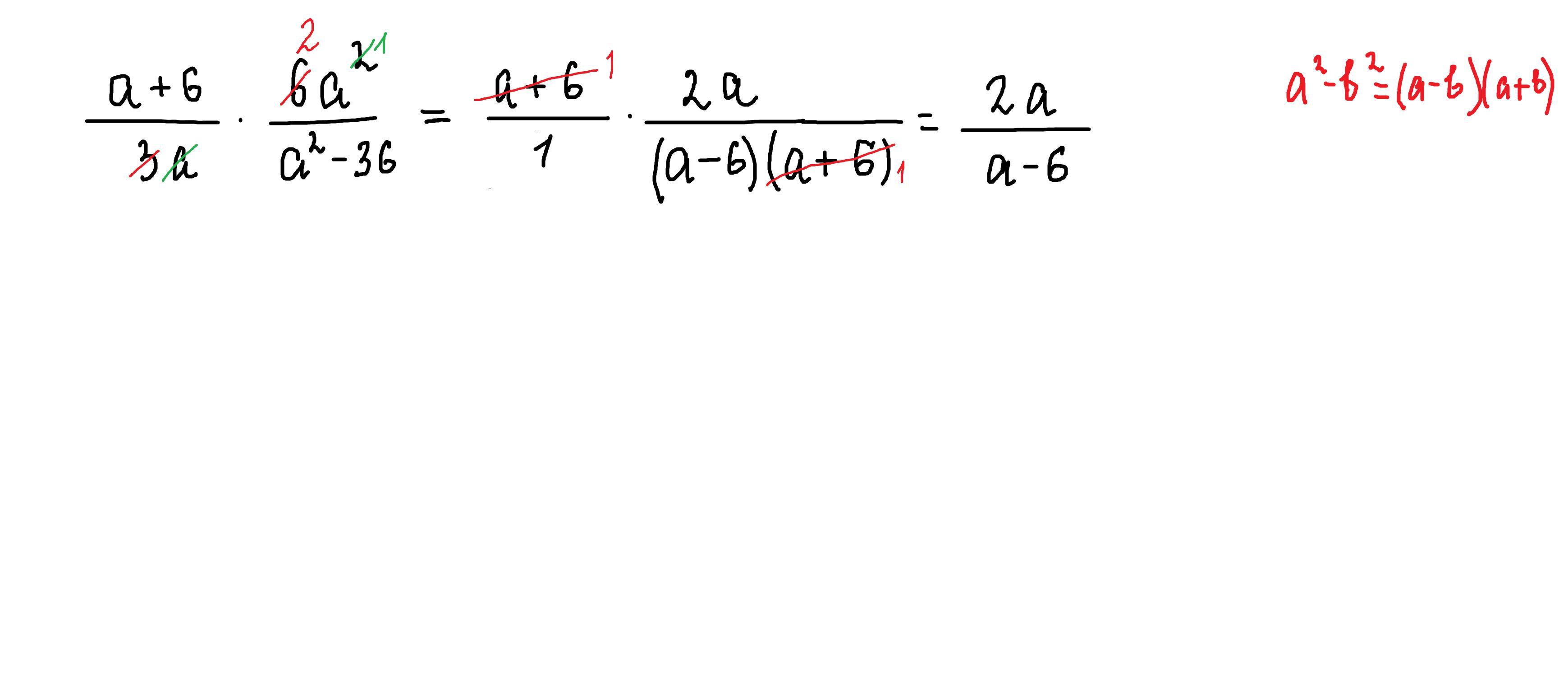
Ответ:
2а
____
а-6
............................
Автор ответа:
0
Ответ:
2а/(а-6)
Объяснение:
решение внизу
Приложения:
Похожие вопросы
Предмет: Алгебра,
автор: Аноним
Предмет: Математика,
автор: veyserartem13
Предмет: Литература,
автор: chugver
Предмет: Обществознание,
автор: zaitsevalu2015
Предмет: Русский язык,
автор: anisa777salohiddinov