Предмет: Алгебра,
автор: Аноним
СРОЧНО
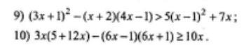
Розвязати 2 рівняння за 100 балов
Приложения:
Ответы
Автор ответа:
0
Ответ: дивись фото
Объяснение:
Приложения:
Похожие вопросы
Предмет: Русский язык,
автор: mihalkinazina03
Предмет: Английский язык,
автор: ayg939
Предмет: Русский язык,
автор: ivska
Предмет: Биология,
автор: Denisspartak2000