Предмет: Алгебра,
автор: aalekskocub6a
помогите срочно с.р. 50 балов даю второй приклад токо второй
Приложения:
Ответы
Автор ответа:
2
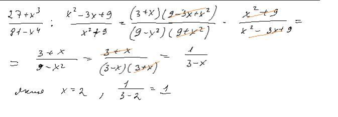
Відповідь:
1
Пояснення:
Приложения:
kimkarina953:
Добрый день. вы не могли бы мне помочь с алгеброй пожалуйста умоляюю
Похожие вопросы
Предмет: Математика,
автор: el979604
Предмет: Русский язык,
автор: dariacojocari21
Предмет: Математика,
автор: Аноним
Предмет: География,
автор: svetlana1105f
Предмет: Українська література,
автор: lesyaskakun2004