Предмет: Алгебра,
автор: sastahov777
Очень срочно нужно помогите , решить у меня не получается
Приложения:
Ответы
Автор ответа:
0
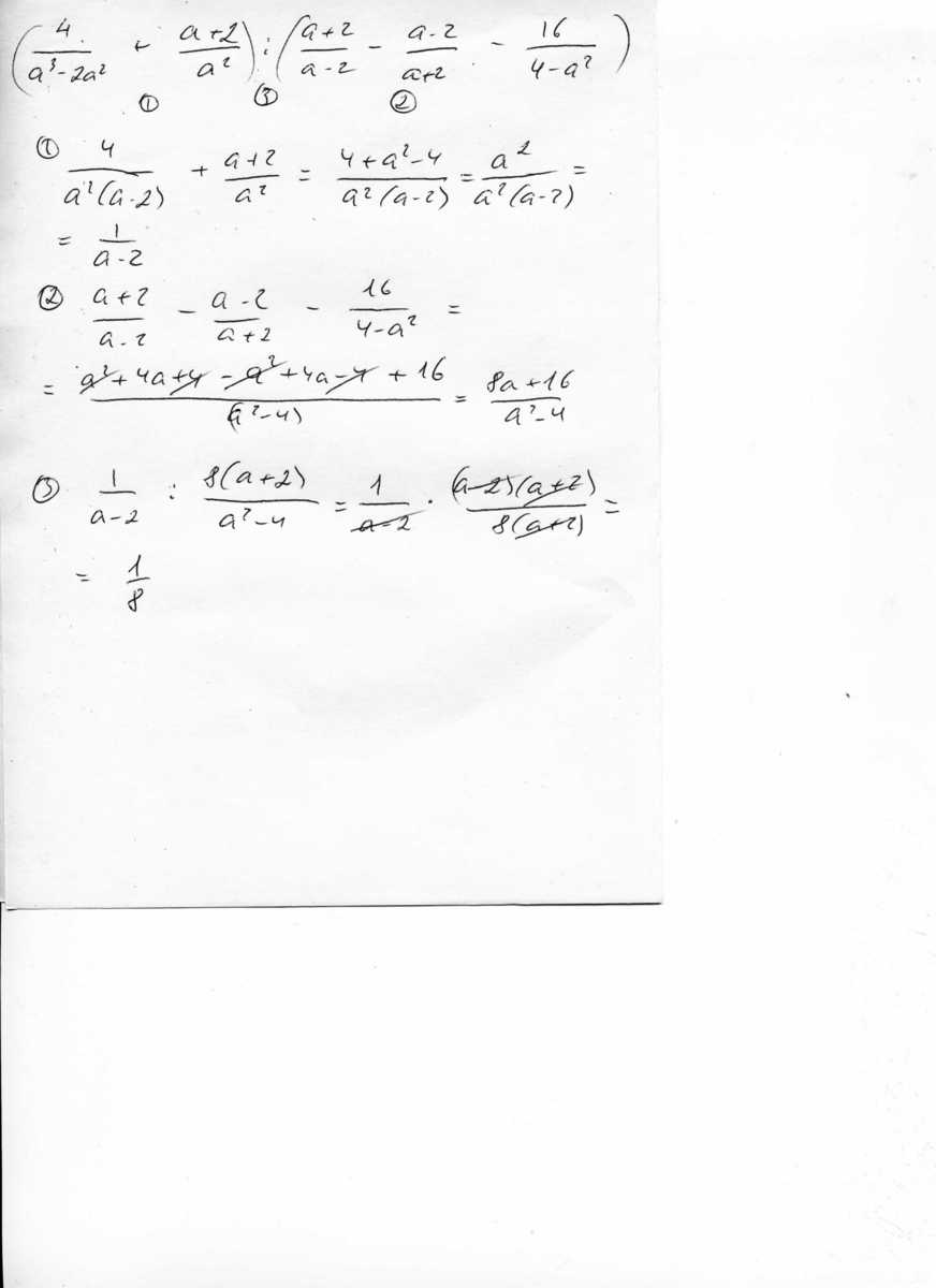
ответ одна восьмая решение на листе
Приложения:
Похожие вопросы
Предмет: Алгебра,
автор: mussinat
Предмет: География,
автор: kazifakizatp5uhe2
Предмет: Математика,
автор: Dauret
Предмет: Математика,
автор: Мужик123
Предмет: Математика,
автор: NnSheva