Предмет: Физика,
автор: masadacenko64
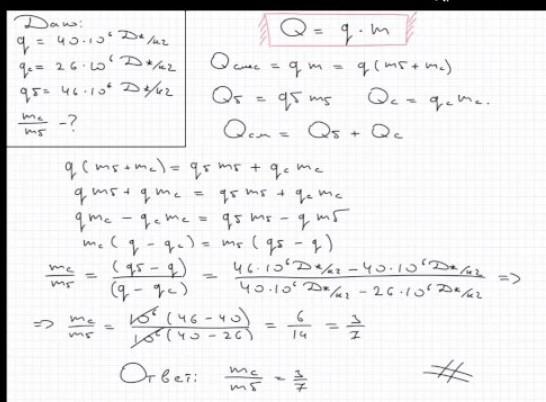
Яке відношення мас спирту й бензину в суміші, питома теплота згоряння якої 40 МДж/кг?
Ответы
Автор ответа:
0
Объяснение:
вроде бы так........................................
Приложения:
Похожие вопросы
Предмет: Биология,
автор: araragomenlol
Предмет: Другие предметы,
автор: yanalittel
Предмет: Математика,
автор: sobirovsurat73
Предмет: Физика,
автор: kirill3692
Предмет: Обществознание,
автор: advadsv