Предмет: Физика,
автор: malinovskaalena740
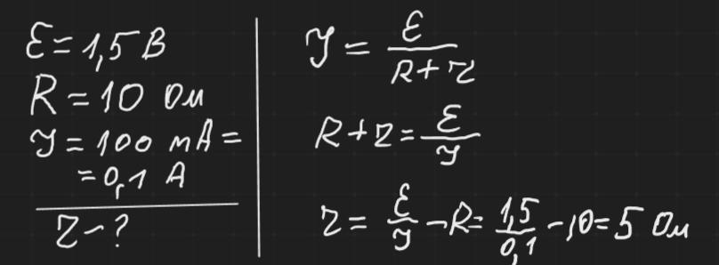
Джерело струму з ЕРС 1,5 В під'єднали до лампочки опором 10 Ом, при цьому сила струму в колі становить 100 мА. Визначте внутрішній опір джерела.
Ответы
Автор ответа:
0
Відповідь: 5 Ом
Пояснення:
Приложения:
Похожие вопросы
Предмет: Геометрия,
автор: anastasiap210
Предмет: Математика,
автор: sam15alice
Предмет: Другие предметы,
автор: allinqsw0408
Предмет: История,
автор: sofiya6350
Предмет: Математика,
автор: ddjannanbekov