Предмет: Геометрия,
автор: alextyutikova
35 баллов!
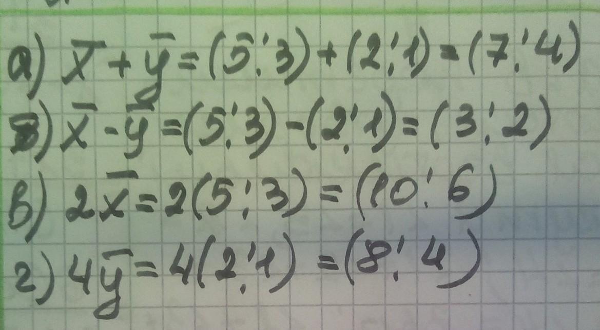
Даны векторы х(5:3) и у(2:1). Найдите координаты:
а) х + у
б) х-у
в) 2х
г) 4у
Ответы
Автор ответа:
1
Ответ:
решение смотри на фотографии
Приложения:
alextyutikova:
Спасибо!!!
Похожие вопросы
Предмет: Астрономия,
автор: bakytkazyzanerke
Предмет: История,
автор: pelteknikita38
Предмет: Другие предметы,
автор: Аноним
Предмет: Английский язык,
автор: vvvictor2707
Предмет: Українська література,
автор: MiraiiKuriyama