Предмет: Математика,
автор: grechko23sony01
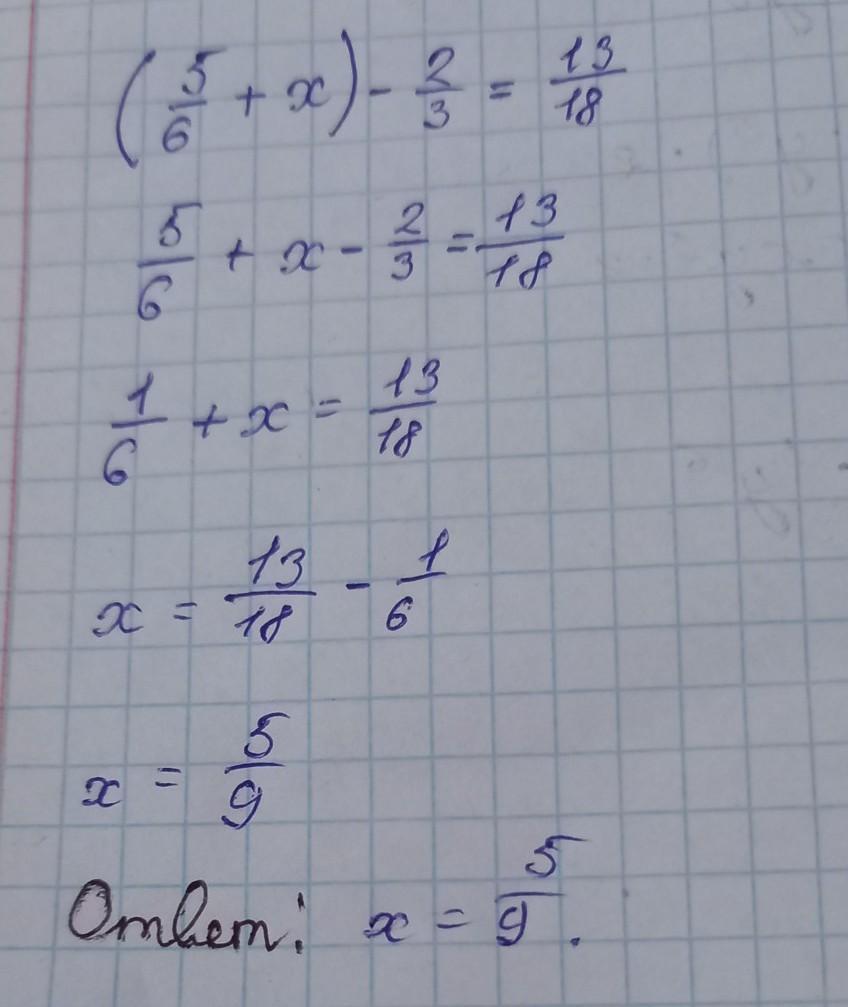
(5/6+x)-2/3=13/18
помогите пожалуйста
Ответы
Автор ответа:
0
Ответ:
Все на фото..............
Приложения:
Похожие вопросы
Предмет: Українська мова,
автор: reswonered
Предмет: Литература,
автор: svetlana5864
Предмет: Математика,
автор: dmytrenkoms01
Предмет: Математика,
автор: Frozone
Предмет: Українська література,
автор: Byamochka23