Предмет: Алгебра,
автор: vladimiraverin67
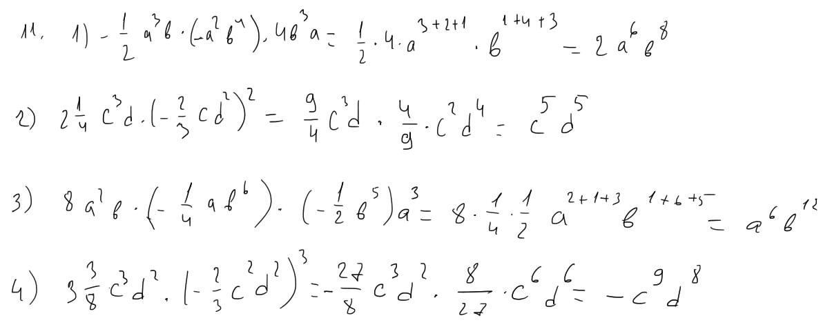
11. Выполните умножение. 1)-1 ab(-aby4b' a 3) 8ab (- →ab^); (- 25) a 2) 24 c^ d(− 3 c)2 4)33cd.(-3cd)
Приложения:
Ответы
Автор ответа:
0
Ответ:
типа того
Объяснение:
Приложения:
Похожие вопросы
Предмет: Математика,
автор: milaminova245
Предмет: Українська мова,
автор: Alinanevmerzicka195
Предмет: Українська література,
автор: medved457
Предмет: Физика,
автор: Woits
Предмет: Математика,
автор: sanysany1994