Предмет: Алгебра,
автор: Alina29255
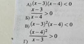
Помогите пожалуйста срочно нужно сделать
Приложения:
Ответы
Автор ответа:
0
Ответ:
решение на фотографие 2
Приложения:
Alina29255:
Начертить промежутки
Похожие вопросы
Предмет: Алгебра,
автор: mykhailogaskevych
Предмет: Литература,
автор: Аноним
Предмет: Математика,
автор: zaharijabramcuk
Предмет: Математика,
автор: Sofys
Предмет: Другие предметы,
автор: wyverntyti20