Предмет: Геометрия,
автор: seytumerovasadullah
РЕБЯТ РЕШИТЕ ПЖ!!!!!!!!
Приложения:
seytumerovasadullah:
Отвечайте честно ок?
Ответы
Автор ответа:
1
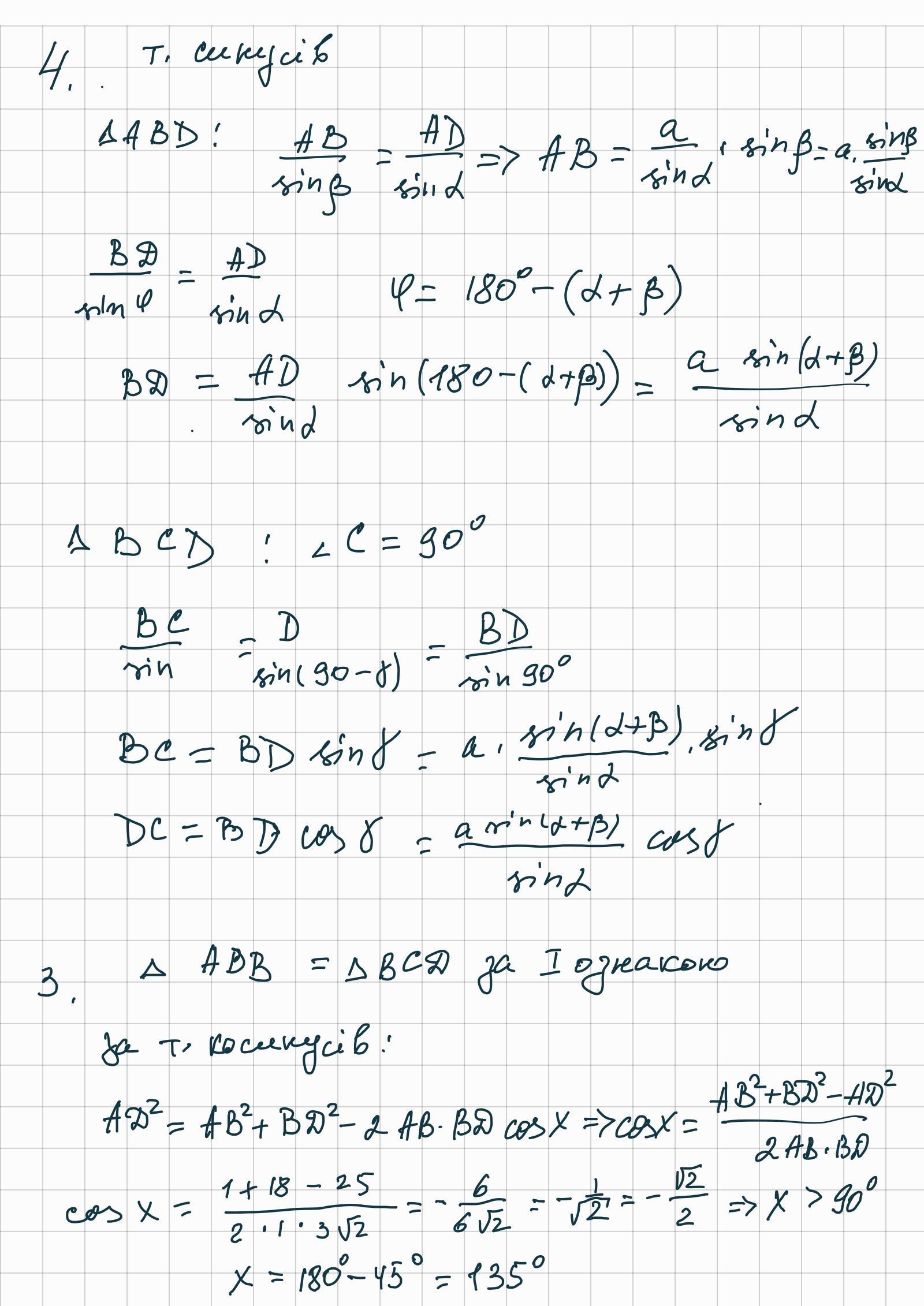
Відповідь:
Пояснення:
Приложения:
Дякую
:)
Похожие вопросы
Предмет: Литература,
автор: kostyuchenkopetro
Предмет: Литература,
автор: ulynetsangelina2008
Предмет: Химия,
автор: bondanastazja2010
Предмет: Русский язык,
автор: hadjievalena55
Предмет: Математика,
автор: dtariverdyeva