Предмет: Алгебра,
автор: alina120484
ПОМОГИТЕ ПРОШУ!!!!!!!!!
160) запишите в виде степени с основанием 3
2) 3²×3¹¹×3⁵
4)81×3²
161) тоже записать в виде степени с основанием 3
2)3×3n
4)27×3n(n натуральное число)
ДАМ 20 БАЛООООВ
gogigom399:
n это степень?
даа
Ответы
Автор ответа:
1
160)
2) 3^2•3^11•3^5=3 в 18 степени
4) 81•3^2= 3 в 6 степени
161)
2)3•3^n=3 в n+1 степени
4)27•3n=3 в n+3 степени
2) 3^2•3^11•3^5=3 в 18 степени
4) 81•3^2= 3 в 6 степени
161)
2)3•3^n=3 в n+1 степени
4)27•3n=3 в n+3 степени
Ваууу спасибо математик гений
Автор ответа:
1
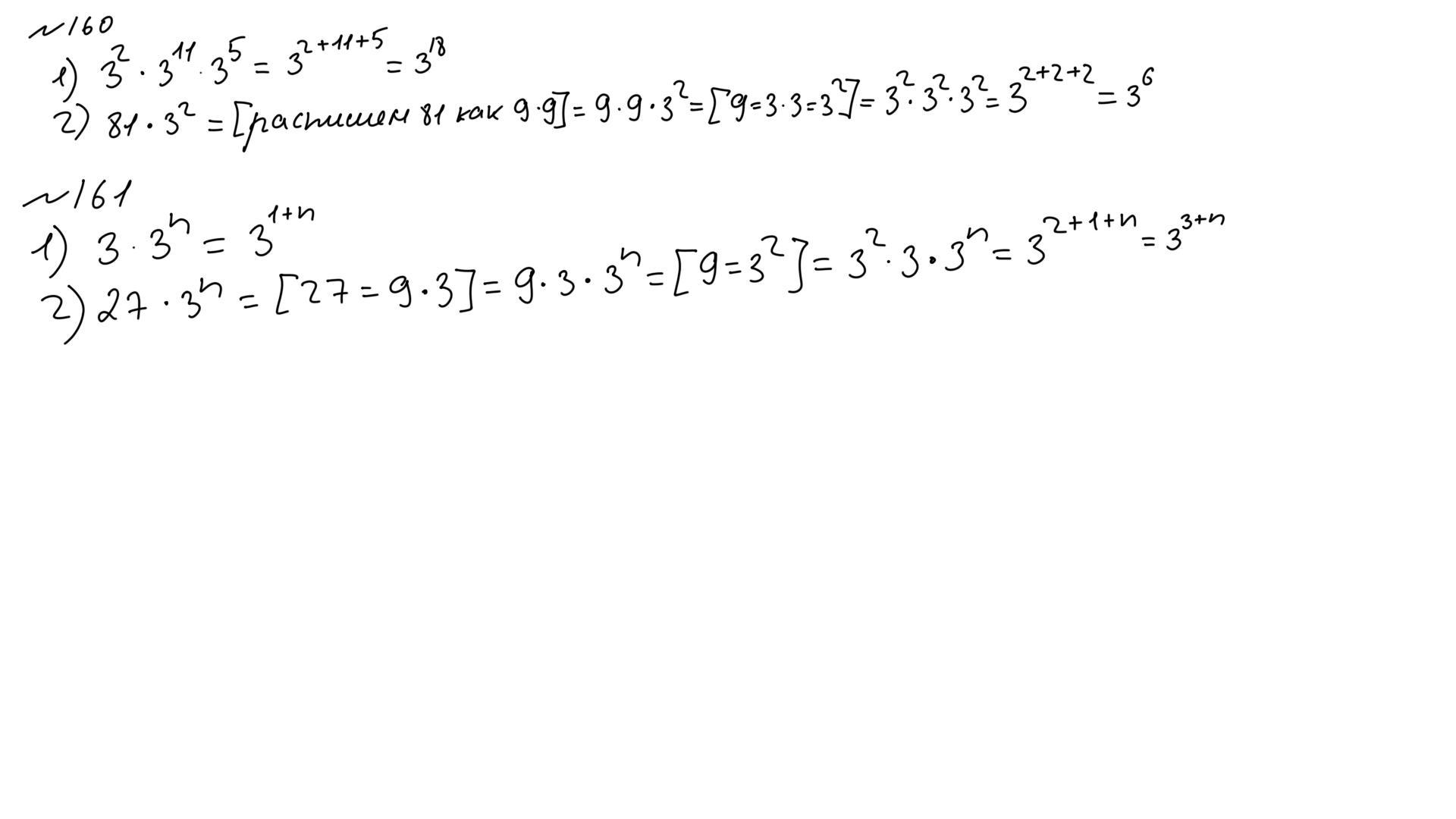
Всё на фото. Писать то, что в квадратных скобках - не нужно. Это пояснение.
Что нужно знать: когда мы умножаем числа с одинаковым основанием, но разными степенями, мы складываем степени, а основание не меняем. Например:
3² * 3³
Основание это 3, степени 2 и 3. При умножении получаем:
Также бывают случаи, когда мы не имеем одинакового основания, но можем привести к нему.
Например, как в случае с №161 (4):
27 можно привести к основанию 3, так как 27 = 9 * 3 = 3 * 3 * 3 = 3³
Дальше перемножаем и получаем ответ.
Приложения:
Очень понятное объяснение особенно для таких как я ( в алгебре и геометрии я не сильна) спасибо большое даже такой человек как я понял как решать это огромная благодарность
Похожие вопросы
Предмет: Геометрия,
автор: gunkobogdan7
Предмет: Английский язык,
автор: asa3163
Предмет: Українська мова,
автор: vergeleszlata
Предмет: Математика,
автор: Karinabah271007