Предмет: Алгебра, автор: hleppy222

Объясните тему многочлены пж кто знает​

Приложения:

Ответы

Автор ответа: arsik32
0

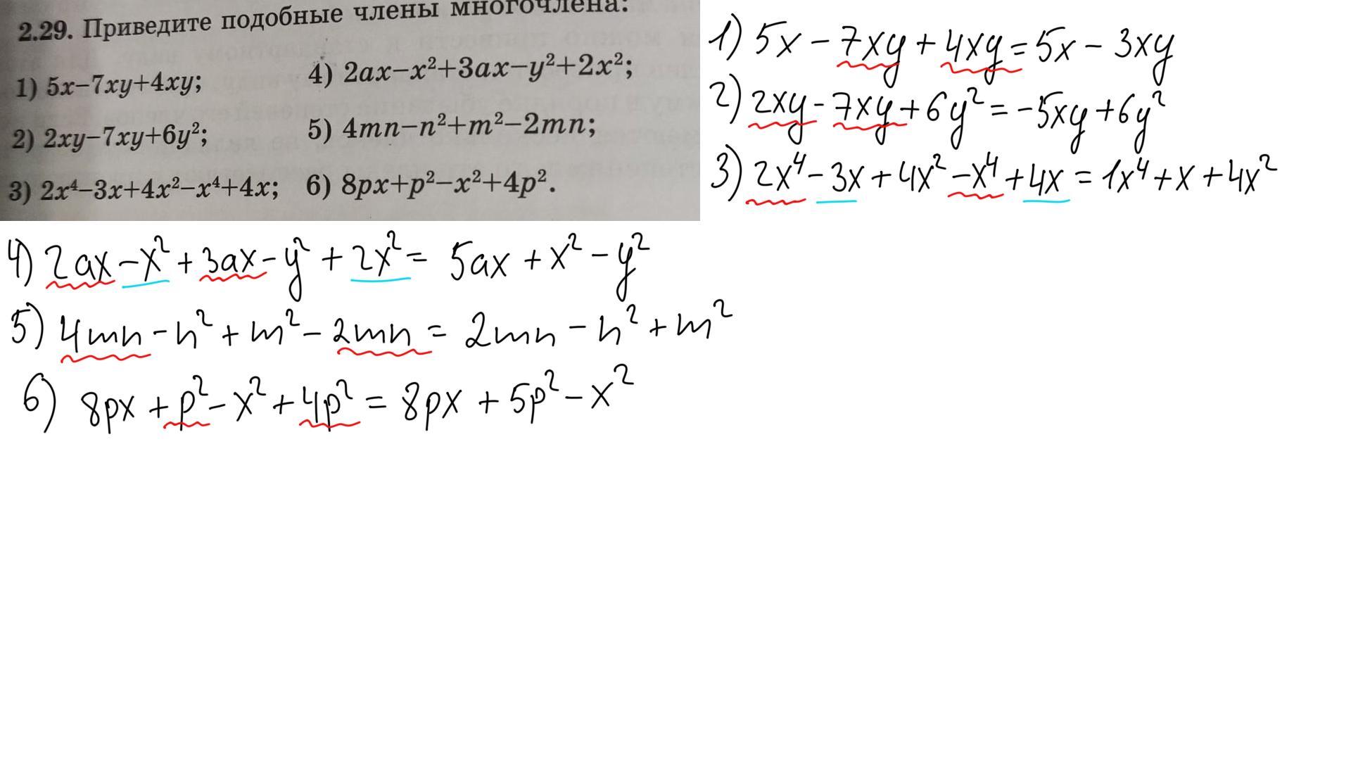
Всё на фото. Красными и синими линиями показаны подобные члены.
Подобные члены в составе многочлена - это одночлены, которые отличаются либо коэффициентами, либо знаками, либо ничем.
При этом с подобными членами мы можем выполнять арифметические действия: сложение, вычитание и т.д

Например, в первом задании у нас есть подобные

-7xy и +4xy

Они отличаются и коэффициентами, то есть стоящими перед ними цифрами, и знаками (одно число (-7) отрицательное, а другое (+4) положительное), а также имеют общую часть xy.

Мы можем их сложить и получить следующее :

-7xy + 4xy = 4xy - 7xy = -3xy

В третьем подобными членами будут

1) +2x⁴ и -x⁴ , потому что  имеют при себе общую часть x⁴. Если бы у одного из этих членов при x была любая другая степень, то они бы уже не были подобными(например +2x³ и -x⁴ уже не являются подобными, так как "x" у них в разных степенях)

2) -3x и +4x

В примере нет других одночленов с x², за исключением 4x², поэтому подобных ему членов нет.

Приложения:
Похожие вопросы
Предмет: Математика, автор: vikaserbinovic
Предмет: Обществознание, автор: irinkairinka19300910