Предмет: Алгебра,
автор: pp0po
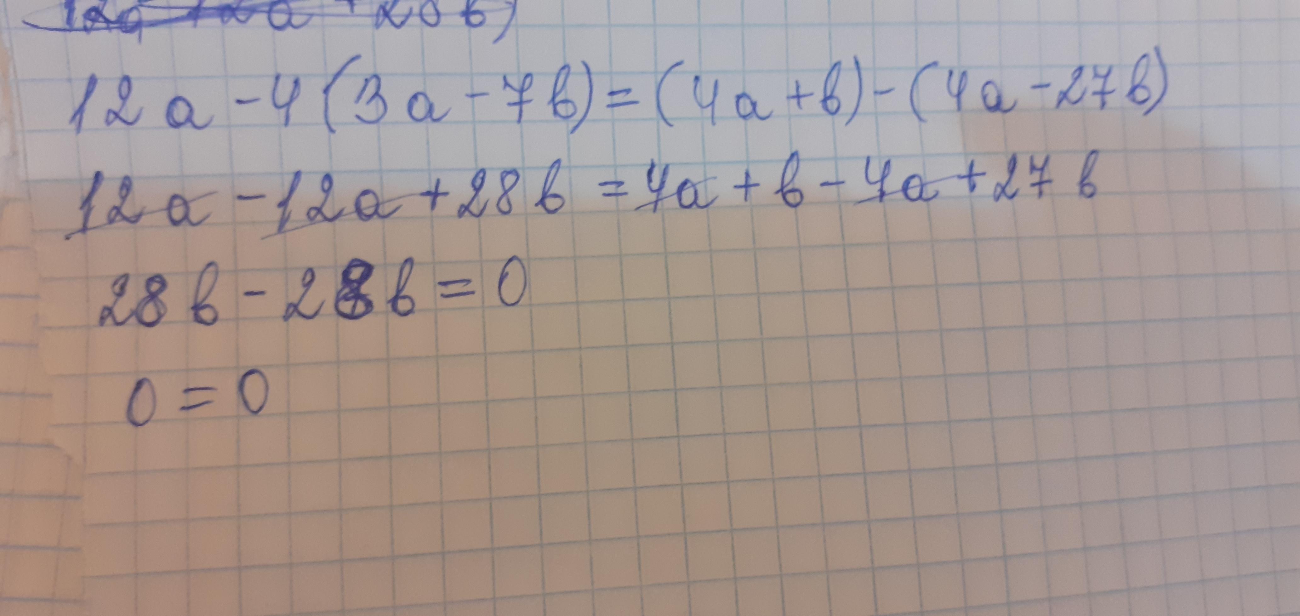
Довести тотожність: 12а – 4(3a – 7b) = (4a +b) – (4a – 27b)
Ответы
Автор ответа:
1
Ответ: 0
Объяснение:
28b-28b=0
Смотрите на фото:
Приложения:
Похожие вопросы
Предмет: Українська література,
автор: nastya2010denisova
Предмет: История,
автор: Thekaatii
Предмет: Английский язык,
автор: InksiSova
Предмет: Химия,
автор: vasan228