Предмет: Алгебра,
автор: ratnikovavika83
... Поможіть будь ласка
Приложения:
Ответы
Автор ответа:
1
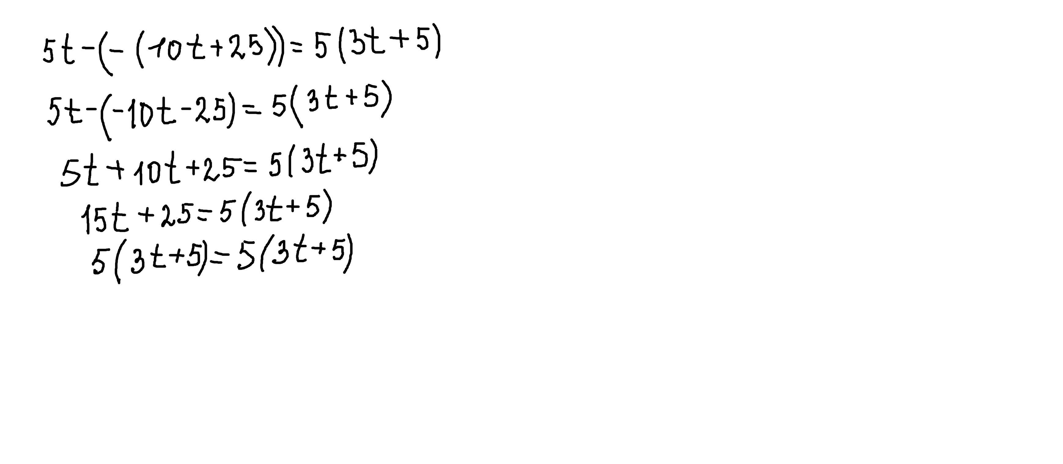
Ответ:
Объяснение:
если перед скобкой стоит знак "минус" ,то при раскрытии скобок слагаемые,стоящие в скобках меняют свой знак на противоположный
Приложения:
Похожие вопросы
Предмет: Биология,
автор: feangelina971
Предмет: Физика,
автор: sgarasimovic
Предмет: Математика,
автор: oslinalisa786
Предмет: Информатика,
автор: susanka04
Предмет: Биология,
автор: Leshamc03032006