Предмет: Алгебра,
автор: DenisKing228
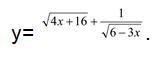
Знайдіть область допустимих значень функції
Приложения:
Ответы
Автор ответа:
0
Ответ:
хЄ(-∞;2),(2;+∞).
Объяснение:
Корень из 6-3х не должен равняться нулю, т.к. на ноль делить нельзя, следовательно составляем уравнение:
√6-3х=0
Возводим в квадрат полностью (вместе с нулем). Ноль так и останется нулем, а корень уберется.
6-3х=0
3х=6
х=6/3
х=2
Если мы подставим вместо х число 2, то решений не будет.
Отсюда можем сделать вывод, что
хЄ(-∞;2)(2;+∞).
Ne1ow:
Можете будь ласка глянути моє останнє питання?
Похожие вопросы
Предмет: Кыргыз тили,
автор: asanovadiana356
Предмет: ОБЖ,
автор: woyawlq
Предмет: Математика,
автор: iraeshmetova
Предмет: Физика,
автор: achmadullina87