Предмет: Алгебра, автор: realpolllllli

Перевести
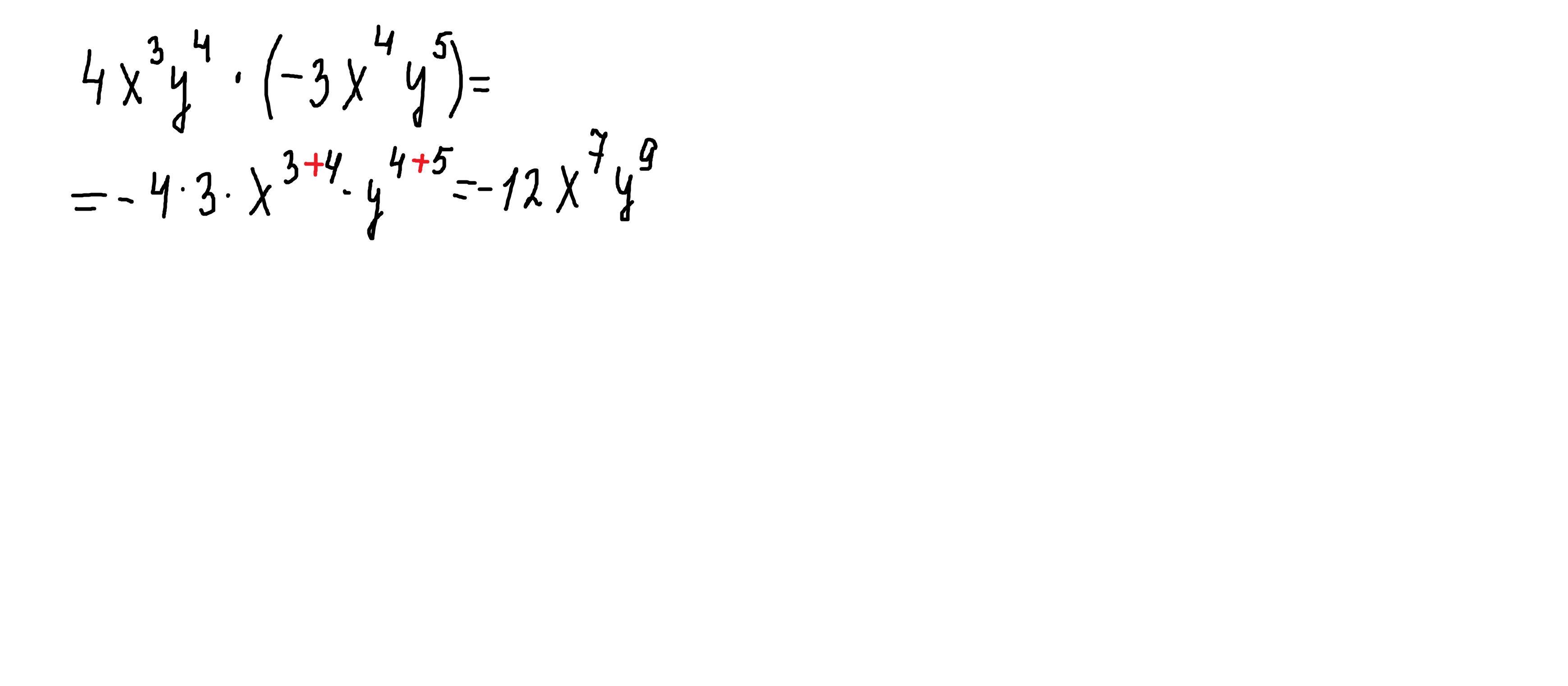
Перемножте одночлени 4х³y4 i - 3x4y5

Ответы

Автор ответа: parus77
2

Ответ:

Объяснение:

решение внизу

Приложения:
Похожие вопросы
Предмет: Информатика, автор: p9166796
Предмет: География, автор: ppon01771
1.Найпотужнішою течією Світового океану є:
А Гольфстрім; Б течія Західних вітрів; В Перуанська; Г Південна Пасатна.
2. Серед названих островів найбільшим є:
А Мадаґаскар; Б Шрі-Ланка; В Нова Ґвінея; Г Гренландія.
3. Снігові, дощові, підземні води — це ознаки:
А водного режиму річок; В характеру течії річок;
Б роботи річок; Г типу живлення річок.
4. Повінь, паводок, льодостав, межень — це ознаки:
А водного режиму річок; В характеру течії річок;
Б роботи річок; Г типу живлення річок.
5. Найбільші площі покривних льодовиків зосереджені:
А у Австралії та Новій Зеландії; Б у Північній та Південній Америці;
В у Євразії; Г в Антарктиді й Ґренландії.
6. Багаторічна мерзлота найбільше розповсюджена на:
А півночі Євразії і Північної Америки; Б півдні Африки та Австралії;
В півночі Південної Америки; Г півдні Євразії і Північної Америки.

ІІ рівень

7. Поясніть, чому гірські льодовики є не в усіх горах. Наведіть приклади.(1 б)
8. Установіть відповідність між частинами Світового океану та вказаними гідрографічними
об’єктами: (2 б)
А внутрішні моря; 1) Дрейка, Маґелланова;
Б окраїнні моря; 2) Аравійське, Берінгове;
В протоки; 3) Аральське, Каспійське;
Г затоки. 4) Червоне, Середземне;
5) Бенґальська, Біскайська.

9. Установіть відповідність між видами вод суходолу та вказаними гідрографічними об’єктами:
(2 б)
А озера; 1) Янцзи, Дніпро;
Б річки; 2) Чорне, Червоне;
В водосховища; 3) Байкал, Балхаш;
Г канали. 4) Каховське, Кременчуцьке;
5) Панамський, Суецький.

10. Установіть відповідність між географічними об’єктами та їхнім положенням на материках.(2 б)
А Амазонка, 1) Північна Америка
Б Великі озера 2) Африка
В Каспійське море 3) Австралія
Г Ніл 4) Євразія
5) Південна Америка.
ІІІ рівень

11. Укажіть причини, з яких людина створює штучні водойми. Назвіть позитивні та негативні
наслідки створення цих водойм. .(2 б)