Предмет: Физика,
автор: matvey8334
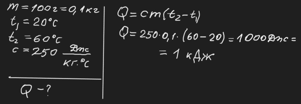
Срібну ложку масою 100 г нагріли від 20 °C до 60 ºС. Яка кількість теплоти передана ïй? нужно расписать
Ответы
Автор ответа:
1
Відповідь: 1 кДж
Пояснення:
Приложения:
Похожие вопросы
Предмет: Литература,
автор: schymyrkova
Предмет: Английский язык,
автор: bobuhnadezhda12
Предмет: Алгебра,
автор: Artyreik
Предмет: Математика,
автор: hadizhat131361
Предмет: Математика,
автор: ksenia76431