Предмет: Математика,
автор: prencesakari
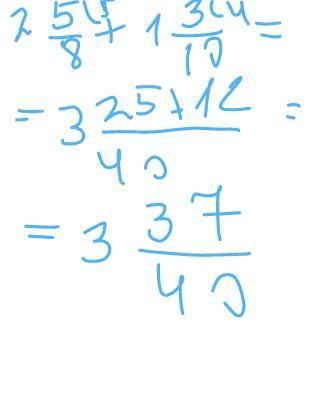
Обчисліть: 2 цілих 5/8 + 1 ціла 3/10
Ответы
Автор ответа:
1
Відповідь на фотографії
Приложения:
Похожие вопросы
Предмет: Литература,
автор: guzalzulufova
Предмет: Литература,
автор: kogtevasofa
Предмет: Математика,
автор: yaromirpetrovskiy
Предмет: Химия,
автор: sashaapap16
Предмет: Русский язык,
автор: OMG2020