Предмет: Математика,
автор: rellaxnel
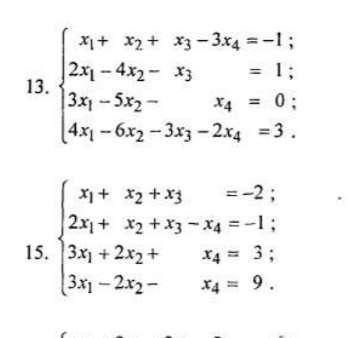
Зробіть будь ласка 15 Методом Жордана Гауса
Приложения:
Ответы
Автор ответа:
1
Ответ:
15. (2; -2; -2; 1)
Пошаговое объяснение:
посмотрите решение для задания №15, оформление не соблюдалось.
Приложения:
Похожие вопросы
Предмет: Математика,
автор: sofiy402
Предмет: Математика,
автор: mahtchuv
Предмет: Литература,
автор: kirilenkoanastasiya1
Предмет: Геометрия,
автор: vikagromova06
Предмет: Английский язык,
автор: korotkov24032008