Предмет: Алгебра,
автор: ZeckaGames
ПОЖАЛУЙСТА, ПОМОГИТЕ !!!
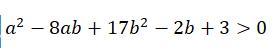
Доведіть,що при всіх дійсних значеннях змінних є правильною нерівність
Приложения:
Ответы
Автор ответа:
3
Ответ:
на фото відповідь, надіюсь допомогла)
Приложения:
Похожие вопросы
Предмет: Українська мова,
автор: valeriakaraulova509
Предмет: Алгебра,
автор: kylik7878p0p1ir
Предмет: История,
автор: vanyadeli04
Предмет: Литература,
автор: Memer2007
Предмет: Математика,
автор: chalinanasta