Предмет: Алгебра,
автор: parn1sha
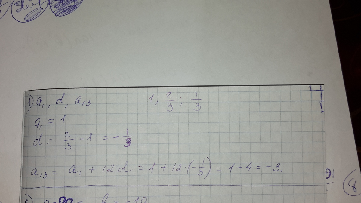
1)найдите a1,d,a13 для арифметической прогрессии(an):1;23;13
2)Являются ли числа A=99 и B=-10 членами арифметической прогрессии(аn),если an=0,5n-1
3)В арифметической прогрессии 14; 16...укажите номер того члена,начиная с которого все члены прогрессии будут меньше -1
Ответы
Автор ответа:
0
1)найдите a1,d,a13 для арифметической прогрессии(an):1;23;13
a1=1
d=-1/3
a12=a1+11*d=1-11/3=--8/3
2)Являются ли числа A=99 и B=-10 членами арифметической прогрессии(аn),если an=0,5n-1
99=0.5n-1
100=0.5n
n=200 да
-10=0.5-1
0.5n=-9 нет N должно быть больше 0
3)В арифметической прогрессии 14; 16...укажите номер того члена,начиная с которого все члены прогрессии будут меньше -1
D=1/6-1/4=-1/12
an=a1+(n-1)d<0
1/4-1/12(n-1)<0
1/4+1/12<1/12n
n>4
a1=1
d=-1/3
a12=a1+11*d=1-11/3=--8/3
2)Являются ли числа A=99 и B=-10 членами арифметической прогрессии(аn),если an=0,5n-1
99=0.5n-1
100=0.5n
n=200 да
-10=0.5-1
0.5n=-9 нет N должно быть больше 0
3)В арифметической прогрессии 14; 16...укажите номер того члена,начиная с которого все члены прогрессии будут меньше -1
D=1/6-1/4=-1/12
an=a1+(n-1)d<0
1/4-1/12(n-1)<0
1/4+1/12<1/12n
n>4
Автор ответа:
0
"""""""""""""""""""""""""""""""""
Приложения:
Похожие вопросы
Предмет: Английский язык,
автор: Gggg990
Предмет: Английский язык,
автор: seithanovaanel78
Предмет: Русский язык,
автор: abainurjaina
Предмет: Химия,
автор: DRUGой