Предмет: Алгебра,
автор: mafloypersik
ХЕЛП ПЖ УМОЛЯЮ ДАМ МАКС БАЛОВ
Приложения:
Ответы
Автор ответа:
0
Ответ:
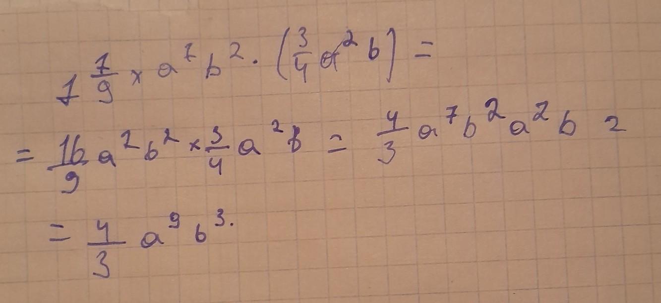
там кр с краю не 2 а ровно и думаю норм???
Приложения:
Автор ответа:
0
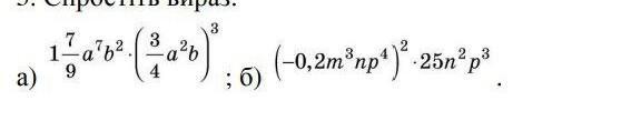
Ответ: a) 3/4 *a¹³b⁵.
б) m⁶n⁴p¹¹.
Объяснение:
a) 1 7/9 a⁷b² *(3/4)³a⁶b³ = 16/9 * 27/64a¹³b⁵ = 3/4 *a¹³b⁵.
б) (-0,2m³np⁴)² * 25n²p³= (-0.2)²(m³)²n²(p⁴)² * 25n²p³=
=0.04*m⁶n²p⁸ * 25n²p³= m⁶n⁴p¹¹.
Похожие вопросы
Предмет: Физика,
автор: janoand08
Предмет: Қазақ тiлi,
автор: ermoaxmediar
Предмет: Английский язык,
автор: sagovsul8778
Предмет: Химия,
автор: chamomileblack458
Предмет: Английский язык,
автор: rivlokar288049