Предмет: Алгебра,
автор: palubinskaolga
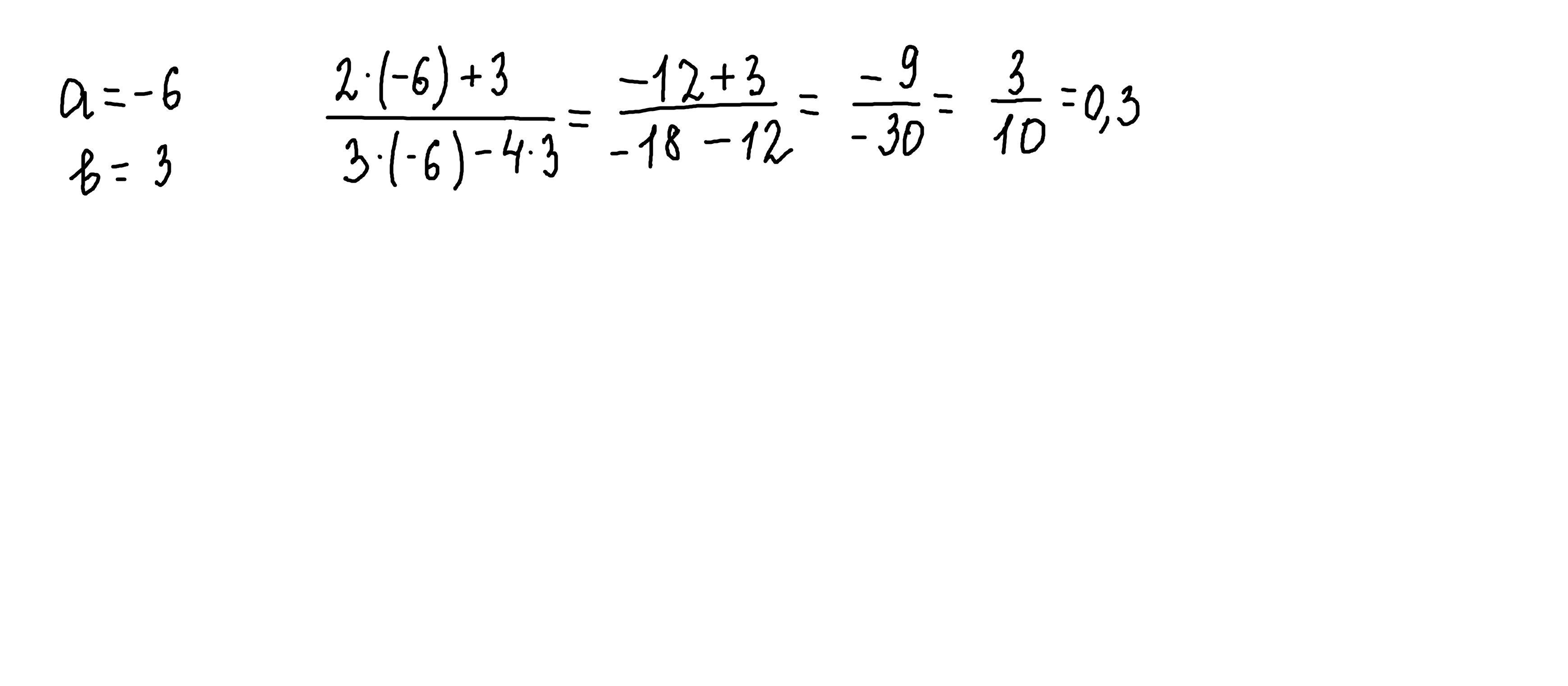
Знайдіть значення виразу, якщо
a = -6, b = 3.
ОЧЕНЬ СРОЧНО!
Приложения:
Ответы
Автор ответа:
0
Ответ: -12+3
-18-12
Объяснение:(2*-6)+3
(3*-6)-4*3
Автор ответа:
1
Ответ:
0,3
Объяснение:
решение внизу
Приложения:
Похожие вопросы
Предмет: Українська мова,
автор: vtljbugaenko
Предмет: Химия,
автор: ivankryvulych10
Предмет: Қазақ тiлi,
автор: severanovapolina19
Предмет: Другие предметы,
автор: angelovarturartur200