Предмет: Математика,
автор: p36070362
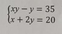
помогите пожалуйста
Приложения:
Ответы
Автор ответа:
2
Відповідь:
Покрокове пояснення:
Приложения:
Похожие вопросы
Предмет: Математика,
автор: svetlanahegaj419
Предмет: Биология,
автор: polyaaa16
Предмет: Химия,
автор: viktoriaua2009
Предмет: Математика,
автор: nurainadzhumasheva
Предмет: История,
автор: senpaitsundere14