Предмет: Алгебра, автор: murraayy2009

50 БАЛЛОВ помогите.
Спростіть вираз.
Пипец...​

Приложения:

Ответы

Автор ответа: jixiolp
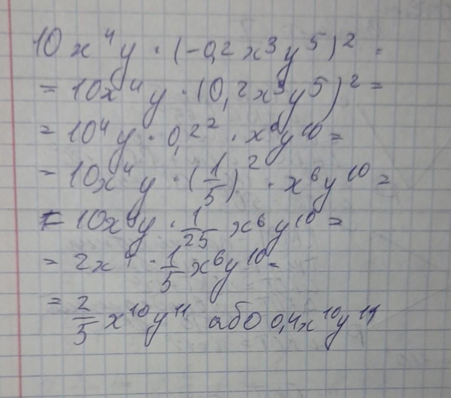
1

Ответ:

2/5 x¹⁰ y¹¹

или

0,4x¹⁰ y¹¹

Приложения:

murraayy2009: Извини, объясни как ты это решил пожалуйста!
jixiolp: ща
jixiolp: глянь мой ответ я прекрепил фото
murraayy2009: большое спасибо!!)
jixiolp: пожалуйста
Похожие вопросы
Предмет: Українська мова, автор: agatikagatikofficial
Предмет: Українська мова, автор: Annamaliukina
Предмет: Обществознание, автор: chemicappanda
1Установите соответствие между примерами и функциями государства, которые они иллюстрируют: к каждому элементу, данному в первом столбце, подберите элемент из второго столбца.

ПРИМЕРЫ

А)обеспечение правопорядка

Б)подписание президентом договора

о дружбе и сотрудничестве с главой соседнего государства

В)разработка правительством долгосрочной программы экономического развития страны

Г)участие армии в военных учениях совместно с армией другого государства

Д)государственное финансирование строительства автомобильных и железных дорог

ФУНКЦИИ ГОСУДАРСТВА

1)внешние 2)внутренние
2.Установите соответствие между примерами и элементами формы государства: к каждому элементу, данному в первом столбце, подберите элемент из второго столбца.

ПРИМЕРЫ
А)демократия
Б)унитарное государство
В)республика
Г)федерация
ЭЛЕМЕНТЫ ФОРМЫ ГОСУДАРСТВА
1)форма правления
2)форма государственного устройства
3)политический режим