Предмет: Алгебра,
автор: makudria
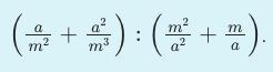
Алгебра!!! Срочно!!! С объяснением, пожалуйста!!!
Приложения:
Ответы
Автор ответа:
3
Ответ:
ответ на фотографии.
Пошаговое объяснение:
пошаговое объяснение и ответ на фотографии.
ответ на фотографии.
Пошаговое объяснение:
пошаговое объяснение и ответ на фотографии.
Приложения:
seidovagulshan:
можно пожалуйста лучший ответ?
Конечно! Ответ верен!
спасиб!
у меня тоже так вышло
Похожие вопросы
Предмет: Математика,
автор: lmilashka922
Предмет: Английский язык,
автор: rozatina23
Предмет: Українська література,
автор: irinapidletejcuk932
Предмет: Русский язык,
автор: Bulka2324
Предмет: Английский язык,
автор: semerenkopolina1110