Предмет: Алгебра,
автор: sofka5152
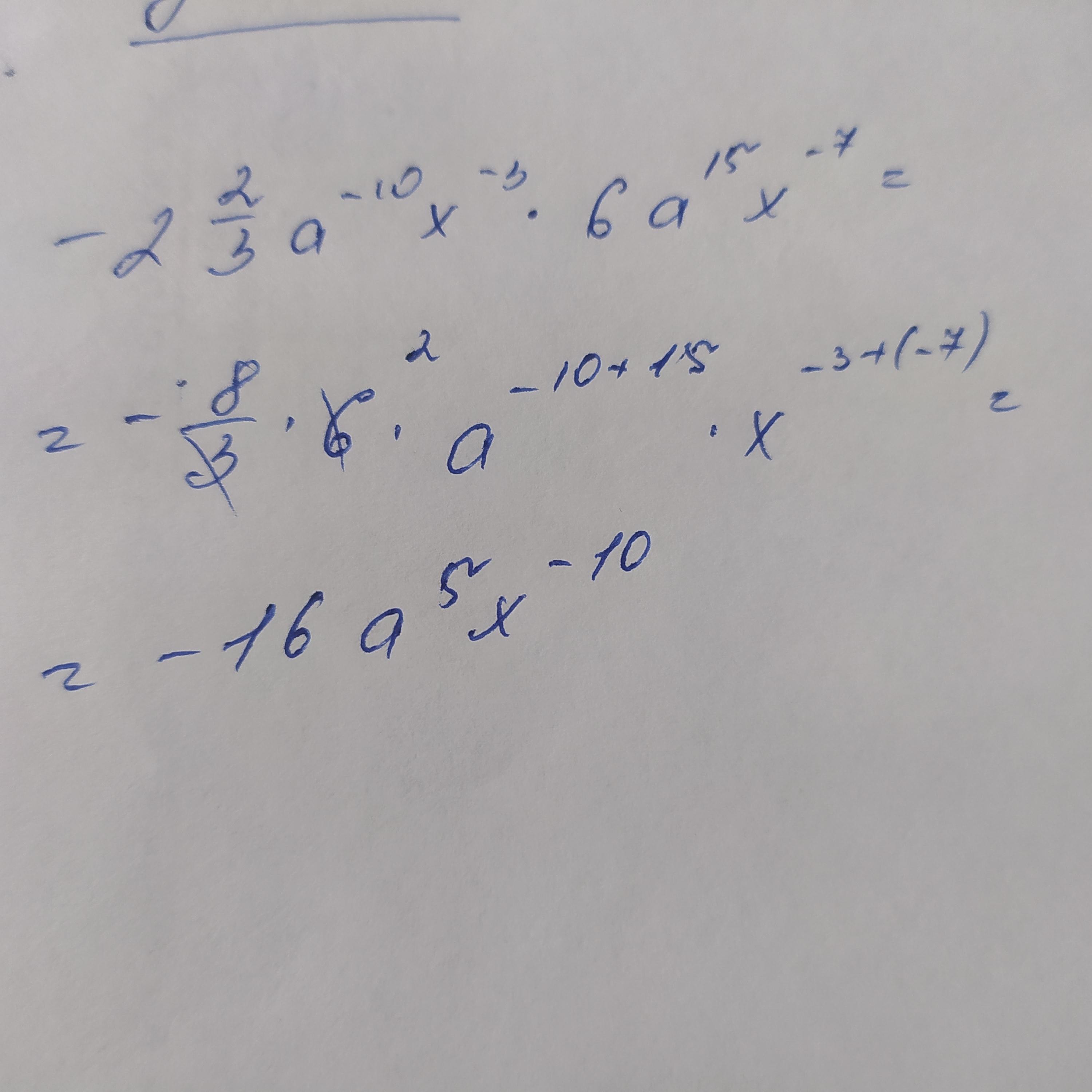
Спростіть -2 2/3 а-¹⁰х-³·6а¹⁵х -⁷
Ответы
Автор ответа:
0
Ответ:
Объяснение:
....,....
Приложения:
Похожие вопросы
Предмет: Литература,
автор: akena0909
Предмет: Литература,
автор: Neitr0n
Предмет: География,
автор: olgadenisova777777
Предмет: История,
автор: romanatopek
Предмет: Биология,
автор: Lopushochishe