Предмет: Физика,
автор: Leyvel
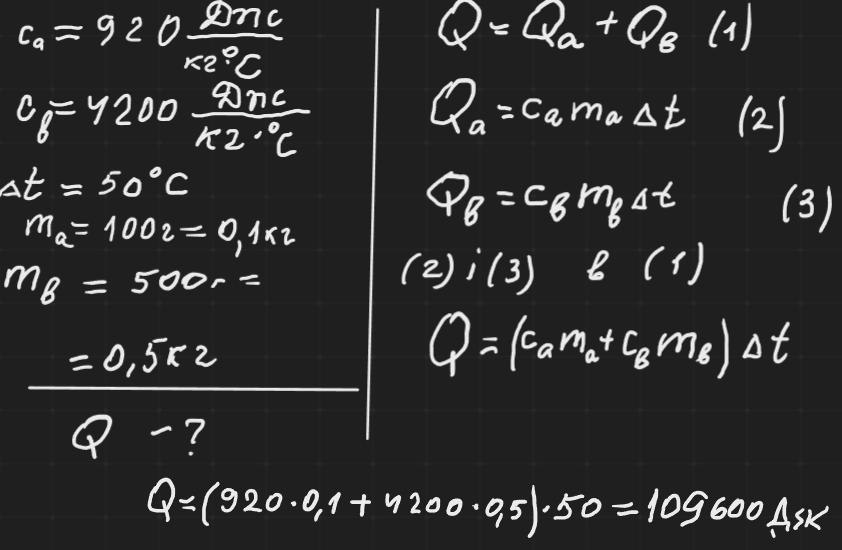
Яка кількість теплоти потрібна для нагрівання 500 г води на 500С в алюмінієвій посудині масою 100 г?
Прошу написать с объяснением и рассписать.
Ответы
Автор ответа:
3
Відповідь: 109,6 кДж
Пояснення:
Приложения:
Похожие вопросы
Предмет: Алгебра,
автор: martini23
Предмет: Другие предметы,
автор: yuliyaxusniddinova
Предмет: Математика,
автор: sofiya28042006
Предмет: Химия,
автор: demyanovamalvina128
Предмет: Информатика,
автор: alinayann25