Предмет: Математика,
автор: alimausha
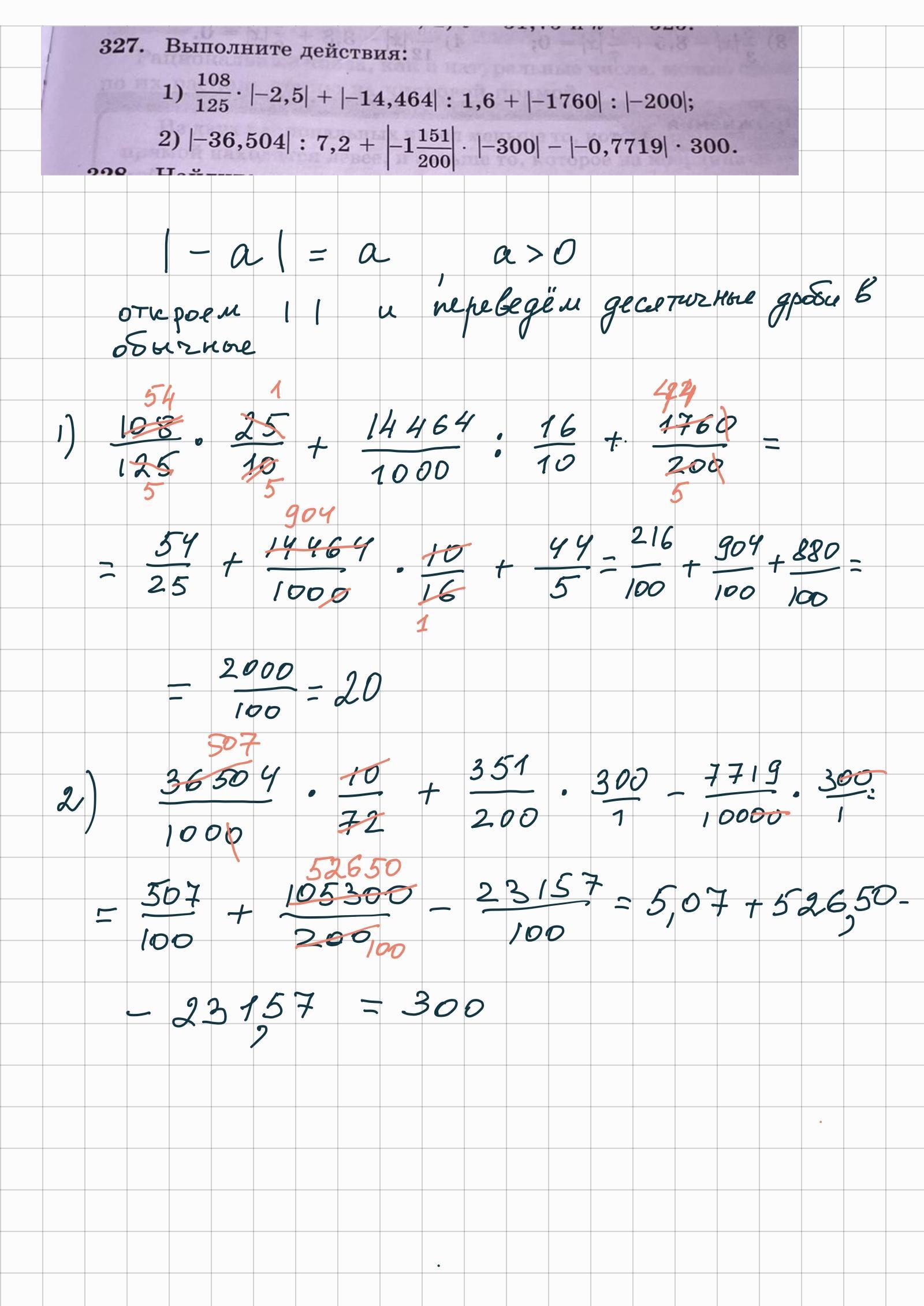
327. Выполните действия:
108
125
1,75 и k = -525.
.
-2,5| + -14,464 : 1,6+-1760|:|-200);
1)
2) |-36,504| : 7,2 +-1161|- |-300|-|-0,7719| - 300.
.
200
... е решения mo
Приложения:
Ответы
Автор ответа:
7
Відповідь:
Покрокове пояснення:
Приложения:
Kilonmomi:
Можно название приложения
Самсунговский Notes
А в нем все ручками :)
Дроби прекрасно переводяться в десятичные. Это видно по знаменателям 125 и 200.
Похожие вопросы
Предмет: Литература,
автор: zenja0701
Предмет: Геометрия,
автор: qiusueiahs
Предмет: Українська мова,
автор: zananastasija
Предмет: Қазақ тiлi,
автор: ajnurkaskyrbaeva6
Предмет: Алгебра,
автор: deladola18