Предмет: Математика,
автор: evgenponomarenko2
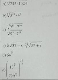
Решите пожалуйста ато я немогу потомучто я тупой ну пожалуйста
Приложения:
evgenponomarenko2:
Клвловововгаога
Ответы
Автор ответа:
1
Ответ:
решение смотри на фотографии
Приложения:
Огромнишое спасибо
Похожие вопросы
Предмет: Физика,
автор: lborov87
Предмет: Математика,
автор: dilarauteseva036
Предмет: Английский язык,
автор: orlovanas1212
Предмет: Химия,
автор: ptushkovlad
Предмет: Русский язык,
автор: katerinairshiha