Предмет: Физика,
автор: leonidpodniglazov
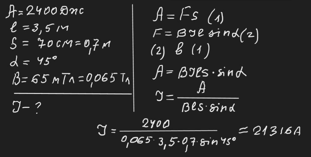
9. Сила Ампера, яка виконує роботу в 2400 Дж під час переміщення провідника,
довжина якого 3,5 м на відстань в 70 см, в однорідному магнітному полі з
індукцією 65 мТл. Провідник розміщений під кутом 45о до силових ліній.
Напрямок переміщення перпендикулярний до напрямку струму й ліній індукції.
Визначте силу струму.
Ответы
Автор ответа:
1
Відповідь: 21316 А
Пояснення:
Приложения:
Похожие вопросы
Предмет: Алгебра,
автор: tsvdb4888
Предмет: Литература,
автор: Аноним
Предмет: Математика,
автор: ramina9421
Предмет: Русский язык,
автор: petrachkovaa89
Предмет: Физкультура и спорт,
автор: eskova120