Предмет: Алгебра,
автор: ossichukoleksandra
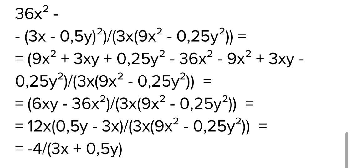
0,7/0,5р-1,5-0,4р-1,2/р2-6р+9 при р=3,1 даю все свои бали
Ответы
Автор ответа:
1
Надеюсь помогла , удачи
Приложения:
ossichukoleksandra:
Дякую тобі добра людина
Похожие вопросы
Предмет: Оʻzbek tili,
автор: elibaevamuborak
Предмет: Математика,
автор: kostyuchenkopetro
Предмет: Математика,
автор: calamburdi80
Предмет: Английский язык,
автор: kimasadeka
Предмет: Литература,
автор: Аноним