Предмет: Алгебра,
автор: polakaunta
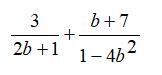
Представте у вигляді дробу
Приложения:
Ответы
Автор ответа:
7
Відповідь: 10-5b / 1-4b^2
Пояснення:
polakaunta:
можешь рассписать ?
*расписать
Пж розпиши
Похожие вопросы
Предмет: Английский язык,
автор: sviderskaa
Предмет: Математика,
автор: mimml
Предмет: Математика,
автор: sever0000
Предмет: Математика,
автор: ademaalbek
Предмет: Математика,
автор: Seitasanov90