Предмет: Физика,
автор: lyamanakperova10
пожалуйста помогите по физике. 6,7,8. Хотя бы 6, просто не могу решить. заранее спасибо
Приложения:
ViktoriaPobloki:
Средняя скорость - общее расстояние/общее время
Ответы
Автор ответа:
0
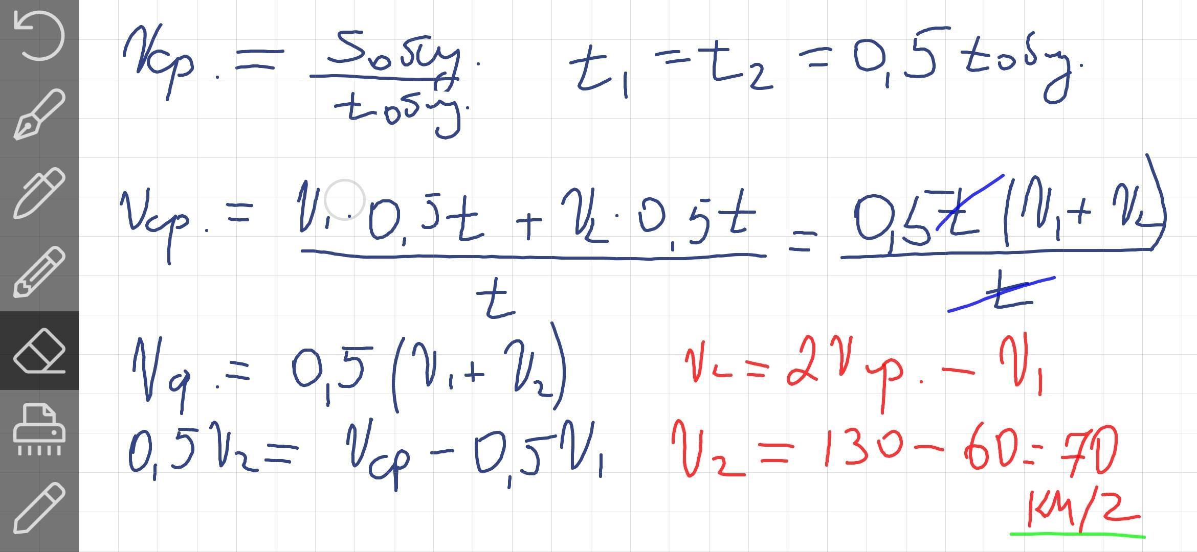
Решение в прикрепе. Основные формулы: Vср=Sобщ/tобщ; S=Vt и производные формулы.
Приложения:
спасибо, просто мы не так решаем, из за этого 4 , но огромное спасибо
Как это можно решать по-другому?
Похожие вопросы
Предмет: Қазақ тiлi,
автор: zajtunabirzanova
Предмет: Математика,
автор: ztxip
Предмет: География,
автор: ayubovaaziza5
Предмет: Физика,
автор: denissavcenko508