Предмет: Алгебра,
автор: artem463518
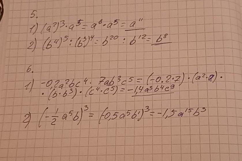
Допоможіть вирішити #5,6 Буду дуже вдячний та віддам останні бали
Приложения:
Ответы
Автор ответа:
1
Надеюсь ещё актуально
Приложения:
artem463518:
Актуально як ніколи
Похожие вопросы
Предмет: Математика,
автор: tenf2011
Предмет: Физика,
автор: wertymsad
Предмет: История,
автор: vladosicpupcin
Предмет: Русский язык,
автор: marinaivashenko2003
Предмет: Қазақ тiлi,
автор: nazymnakiseva22