Предмет: Математика,
автор: gulshatuzakbaeva
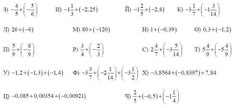
помогите пожалуйста
Приложения:
Ответы
Автор ответа:
0
Пошаговое объяснение:
я там Ф и Х не сделала ((((
Приложения:
gulshatuzakbaeva:
ой спасибо большое тебе
а это не правильно же
Похожие вопросы
Предмет: Физика,
автор: Markus089
Предмет: Українська мова,
автор: ruvronaldo
Предмет: Математика,
автор: SamayaKrasotka
Предмет: Українська література,
автор: elizavetahizuk8
Предмет: Алгебра,
автор: horoshaydeny