Предмет: Математика, автор: ronnyenn37

решите методом интервалов

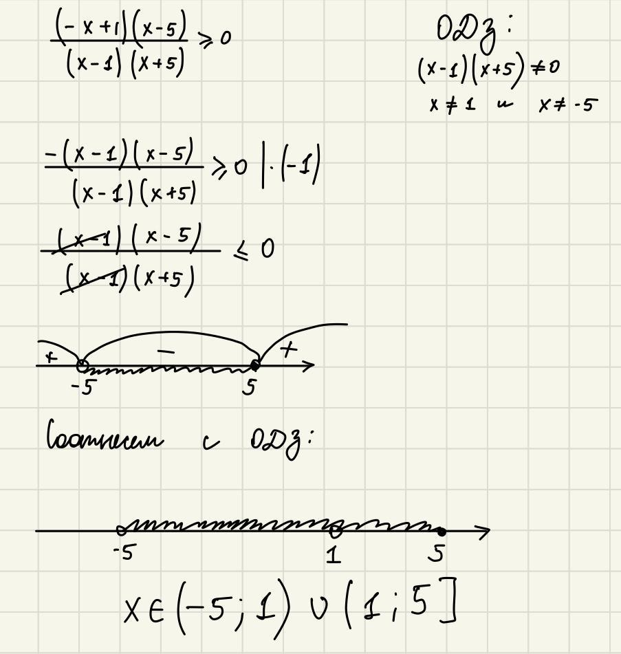
(-х+1)(х-5)/(х-1)(х+5)>=0

Ответы

Автор ответа: anilag86
0

Ответ:

X принадлежит (-5;1) и (1;5]

Автор ответа: Shilkinn
0

Полное решение, удачи)

Приложения:
Похожие вопросы
Предмет: Русский язык, автор: bluklik123
Предмет: Обществознание, автор: Shaweq
1 Что свойственно любому государству?
1) существование гражданского общества
2) взаимная ответственность государства и граждан
3) монополия на создание правовых норм
4) уважение прав и свобод человека

5
Верны ли следующие суждения о государстве?
А. Государство – это особая форма социальной общности, сформированная
для достижения общего блага.
Б. Одним из признаков государства является республиканская форма правления.
1) верно только А 3) верны оба суждения
2) верно только Б 4) оба суждения неверны


8
Страна Z – унитарное государство. Это значит, что
1) в регионах страны Z могут существовать собственные правительства
2) в стране Z реализован принцип разделения властей
3) в регионах страны Z есть собственные конституции
4) территория страны Z состоит из 5 уездов, которые не обладают
политической самостоятельностью

10
Страна Z – унитарное государство. Это значит, что
1) территория страны Z разделена на административные единицы,
подконтрольные центру
2) в территориальных единицах страны Z принимаются свои конституции
3) в стране Z правительство формируется партией, победившей на
парламентских выборах
4) Z объединяет несколько государственных образований, обладающих
определённой политической самостоятельностью