Предмет: Математика,
автор: bicheroleksandraclg
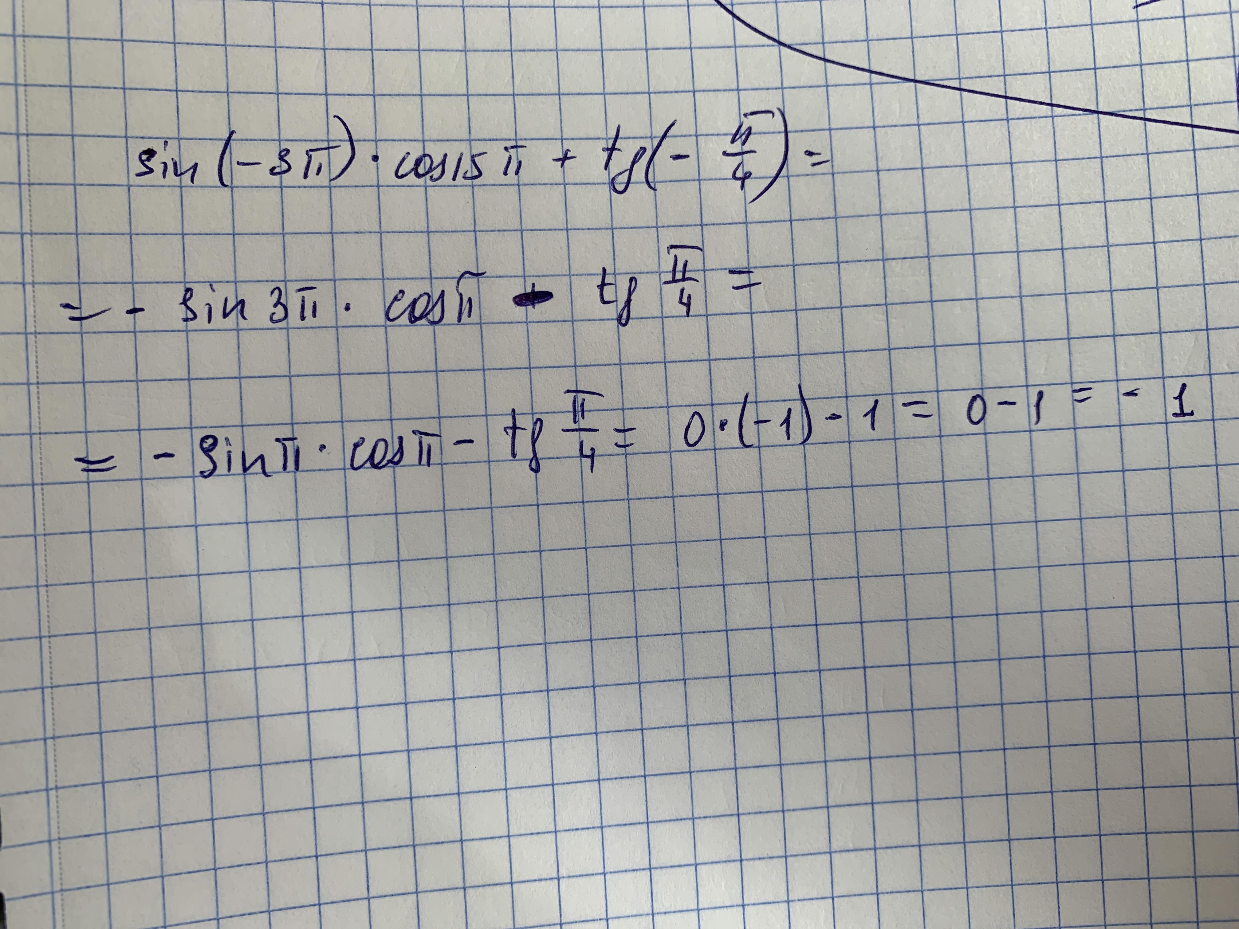
Отчислити sin (-3п)• cos 15п +tg(-п/4)
Ответы
Автор ответа:
0
Ответ:
Пошаговое объяснение:
Приложения:
Похожие вопросы
Предмет: Литература,
автор: ror357823
Предмет: География,
автор: reff0501
Предмет: Химия,
автор: smmorodina34
Предмет: Другие предметы,
автор: ksosjshsuwiei
Предмет: География,
автор: vikysik91